Đề thi tuyển sinh lớp 10 THPT chuyên Lam Sơn, Thanh Hóa - Môn Toán (2000 - 2010)
Nhằm giúp các bạn chuẩn bị thật tốt kiến thức để làm bài thi đạt hiệu quả cao, Vndoc.com xin giới thiệu: Đề thi tuyển sinh lớp 10 THPT chuyên Lam Sơn, Thanh Hóa - Môn Toán (2000 - 2010).
Đề thi tuyển sinh lớp 10 môn Toán:
| SỞ GIÁO DỤC VÀ ĐÀO TẠO THANH HÓA (Đề thi chính thức) |
KỲ THI TUYỂN SINH LỚP 10 THPT CHUYÊN LAM SƠN NĂM HỌC 2009-2010 KHÓA NGÀY 19/06/2009 Môn thi: TOÁN (Dành cho thí sinh thi vào lớp chuyên Toán) Thời gian làm bài : 150 phút (không kể thời gian giao đề) |
Câu 1: (2,0 điểm)
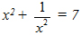
1. Cho số x (x thuộc R, x > 0) thoả mãn điều kiện: 
Tính giá trị các biểu thức: 
2. Giải hệ phương trình: 
Câu 2: (2,0 điểm)
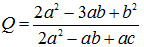
Cho phương trình: ax2 + bx + c = 0 (a # 0) có hai nghiệm x1, x2 thoả mãn điều kiện:
. Tìm giá trị lớn nhất của biểu thức:

Câu 3: (2,0 điểm)
1. Giải phương trình: 
2. Tìm tất cả các số nguyên tố p để 4p2 +1 và 6p2 +1 cũng là số nguyên tố.
Câu 4: (3,0 điểm)
1. Cho hình vuông ABCD có hai đường chéo cắt nhau tại E. Một đường thẳng qua A, cắt cạnh BC tại M và cắt đường thẳng CD tại N. Gọi K là giao điểm của các đường thẳng EM và BN. Chứng minh rằng: CK vuông góc BN
2. Cho đường tròn (O) bán kính R = 1 và một điểm A sao cho
. Vẽ các tiếp tuyến AB, AC với đường tròn (O) (B, C là các tiếp điểm). Một góc xOy có số đo bằng 450 có cạnh Ox cắt đoạn thẳng AB tại D và cạnh Oy cắt đoạn thẳng AC tại E. Chứng minh rằng: 
Câu 5: (1,0 điểm) Cho biểu thức P = a2 + b2 + c2 + d2 + ac + bd, trong đó ad - bc = 1
Chứng minh rằng: 