Giao diện mới của VnDoc Pro: Dễ sử dụng hơn - chỉ tập trung vào lớp bạn quan tâm. Vui lòng chọn lớp mà bạn quan tâm: Lưu và trải nghiệm
Đóng
Điểm danh hàng ngày
  • Hôm nay +3
  • Ngày 2 +3
  • Ngày 3 +3
  • Ngày 4 +3
  • Ngày 5 +3
  • Ngày 6 +3
  • Ngày 7 +5
Bạn đã điểm danh Hôm nay và nhận 3 điểm!
Nhắn tin Zalo VNDOC để nhận tư vấn mua gói Thành viên hoặc tải tài liệu Hotline hỗ trợ: 0936 120 169

Đề thi chọn học sinh giỏi thi Quốc gia lớp 12 tỉnh Hà Tĩnh năm 2012 - 2013 (Vòng 2)

Lớp: Lớp 12
Dạng tài liệu: Đề thi HSG
Loại File: ZIP
Phân loại: Tài liệu Tính phí

Nhằm giúp các bạn chuẩn bị thật tốt kiến thức để làm bài thi đạt hiệu quả cao, Vndoc.com xin giới thiệu: Đề thi chọn học sinh giỏi thi Quốc gia lớp 12 tỉnh Hà Tĩnh năm 2012 - 2013 (Vòng 2).

Đề thi chọn học sinh giỏi môn Toán:

SỞ GIÁO DỤC VÀ ĐÀO TẠO
HÀ TĨNH

Đề chính thức

KỲ THI CHỌN ĐỘI TUYỂN DỰ THI
HỌC SINH GIỎI QUỐC GIA LỚP 12 THPT NĂM HỌC 2012-2013

Môn: TOÁN - Vòng 2
Thời gian làm bài: 180 phút

Câu 1.

Chứng minh rằng với mọi m thuộc R, phương trình sau luôn có nghiệm thực: m3sin4x – 2m3sin2x + sinx + m3 – m = 0.

Câu 2.

Cho ba số thực dương a, b, c thỏa mãn: ab + bc + ca = 3abc. Tìm giá trị nhỏ nhất của biểu thức:

Đề thi chọn học sinh giỏi thi Quốc gia lớp 12 tỉnh Hà Tĩnh

Câu 3.

Chứng minh rằng với mọi số nguyên dương n thì Đề thi chọn học sinh giỏi thi Quốc gia lớp 12 tỉnh Hà Tĩnh là tổng của hai số chính phương liên tiếp.

Câu 4.

Cho 3 điểm A, B, C phân biệt và thẳng hàng (theo thứ tự đó). Gọi d và lần lượt là các đường thẳng vuông góc với đường thẳng AC tại A và C; M là một điểm di động trên Δ. Từ M kẻ các tiếp tuyến MD, ME đến đường tròn đường kính AB với D, E là các tiếp điểm. Các tiếp tuyến đó cắt d tương ứng tại các điểm P, Q. Gọi R và S lần lượt là giao điểm của d với các đường thẳng BD và BE.

a. Chứng minh rằng đường tròn ngoại tiếp tam giác BRS luôn đi qua hai điểm cố định.

b. Xác định vị trí của điểm M trên Δ để tam giác MPQ có chu vi nhỏ nhất.

Câu 5.

Cho đa thức f(x) với hệ số thực, có bậc không nhỏ hơn 1 và đồng thời thoả mãn hai điều kiện sau:

a. Phương trình f(x) = 0 không có nghiệm bội.

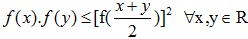
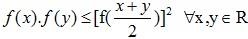
b. Đề thi chọn học sinh giỏi thi Quốc gia lớp 12 tỉnh Hà Tĩnh

Chứng minh rằng phương trình f(x) = 0 có duy nhất một nghiệm thực.

Chọn file muốn tải về:
Đóng Chỉ thành viên VnDoc PRO/PROPLUS tải được nội dung này!
Đóng
79.000 / tháng
Đặc quyền các gói Thành viên
PRO
Phổ biến nhất
PRO+
Tải tài liệu Cao cấp 1 Lớp
30 lượt tải tài liệu
Xem nội dung bài viết
Trải nghiệm Không quảng cáo
Làm bài trắc nghiệm không giới hạn
Mua cả năm Tiết kiệm tới 48%
1

Có thể bạn quan tâm

Xác thực tài khoản!

Theo Nghị định 147/2024/ND-CP, bạn cần xác thực tài khoản trước khi sử dụng tính năng này. Chúng tôi sẽ gửi mã xác thực qua SMS hoặc Zalo tới số điện thoại mà bạn nhập dưới đây:

Số điện thoại chưa đúng định dạng!
Số điện thoại này đã được xác thực!
Bạn có thể dùng Sđt này đăng nhập tại đây!
Lỗi gửi SMS, liên hệ Admin
Sắp xếp theo
🖼️

Thi học sinh giỏi lớp 12

Xem thêm
🖼️

Gợi ý cho bạn

Xem thêm