Đề thi học sinh giỏi lớp 12 THPT tỉnh Ninh Bình năm 2012 - 2013 (Lần 1)
Vndoc.com xin gửi đến các bạn: Đề thi học sinh giỏi lớp 12 THPT tỉnh Ninh Bình năm 2012 - 2013 (Lần 1).
Đề thi học sinh giỏi môn Toán và Văn:
SỞ GIÁO DỤC VÀ ĐÀO TẠO
|
ĐỀ THI CHỌN HỌC SINH GIỎI LỚP 12 THPT
|
ĐỀ THI MÔN: TOÁN
VÒNG 1 - Ngày thi: 09/10/2012
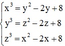
Câu 1 (5 điểm):
Giải hệ phương trình: 
Câu 2 (5 điểm):
Cho tam giác ABC vuông tại A có đường cao AH. Gọi P, Q lần lượt là tâm đường tròn nội tiếp các tam giác ABH và ACH. Các đường thẳng AP, AQ lần lượt cắt BC tại D và E. Chứng minh rằng đường thẳng AH, DQ, EP đồng quy tại một điểm.
Câu 3 (6 điểm):
Cho phương trình (ẩn x, tham số n nguyên dương): x + 2x2 + 3x3 + ... + nxn - 3/4 = 0
a) Chứng minh rằng với mỗi số nguyên dương n phương trình có 1 nghiệm dương duy nhất, kí hiệu nghiệm đó là xn.
b) Chứng minh rằng limxn = 1/3.
Câu 4 (4 điểm):
Cho tập Sn = {1; 2; 3;…; n} với n là số nguyên dương lớn hơn 2. Có bao nhiêu cách chia tập Sn thành ba tập con khác rỗng (hợp với nhau bằng Sn và đôi một giao với nhau bằng rỗng) sao cho mỗi tập con không chứa hai số nguyên liên tiếp?
VÒNG 2 - Ngày thi: 10/10/2012
Câu 1 (5 điểm):
Cho các số thực x, y, z, t thoả mãn: 
Tìm giá trị lớn nhất của biểu thức: P = (x – z)(y – t).
Câu 2 (5 điểm):
Chứng minh rằng phương trình
có vô số nghiệm nguyên dương.
Câu 3 (5 điểm)
Cho tam giác ABC nội tiếp đường tròn tâm O, các đường cao AM, BN. Điểm D trên cung không chứa A của đường tròn (O) và khác B, C. Hai đường thẳng DA và BN cắt nhau tại Q, hai đường thẳng DB và AM cắt nhau tại P. Gọi I là trung điểm của PQ. Chứng minh rằng ba điểm M, N, I thẳng hàng.
Câu 4 (5 điểm):
Tìm tất cả các hàm số f: ¡ → ¡ thỏa mãn điều kiện:
f(x + f(y)) = 4x3f(y) + 6x2(f(y))2 + 4x(f(y))3 + (f(y))4 + f(-x) với mọi x, y thuộc ¡.
ĐỀ THI MÔN: NGỮ VĂN
VÒNG 1 - Ngày thi: 09/10/2012
Câu 1 (8 điểm):
Nhân hứng cũng vừa toan cất bút,
Nghĩ ra lại thẹn với ông Đào.
(Thu vịnh, Nguyễn Khuyến)
Anh (chị) hãy phát biểu suy nghĩ của mình từ ý nghĩa của hai câu thơ trên.
Câu 2 (12 điểm):
Phong cách nghệ thuật Nguyễn Tuân thể hiện qua đoạn trích Người lái đò Sông Đà.
VÒNG 2 - Ngày thi: 10/10/2012
Câu 1 (8 điểm):
Con người ta sớm muộn gì cũng nhận thấy rằng chính họ là người làm vườn cho tâm hồn và là đạo diễn cho cuộc đời họ. (Giêm A-len)
Hãy trình bày suy nghĩ của anh (chị) về câu nói trên.
Câu 2 (12 điểm):
Phong trào Thơ mới không chỉ là một cuộc cách mạng về cảm xúc thơ, thể thơ, mà còn là cuộc cách mạng về lời thơ. Màu sắc cá thể của cảm xúc in rất đậm trong mọi khía cạnh của ngôn từ như vốn từ, các phép tu từ hay ngữ điệu, giọng điệu riêng. Lời thơ được tổ chức theo hình thức gần với chuỗi lời nói tự nhiên của cá nhân hơn, không câu nệ vào những qui định gò bó về số lượng từ, về âm thanh, về vần, về luật, về niêm…
(Ngữ văn 11, SGK thí điểm, Ban KHXH&NV, bộ I, trang 68)
Anh (chị) hiểu nhận định trên như thế nào? Hãy phân tích bài thơ Vội vàng của Xuân Diệu để làm sáng tỏ nhận định trên.
Văn bản: Vội vàng
1. Tôi muốn tắt nắng đi
Cho màu đừng nhạt mất;
Tôi muốn buộc gió lại
Cho hương đừng bay đi.
5. Của ong bướm này đây tuần tháng mật;
Này đây hoa của đồng nội xanh rì;
Này đây lá của cành tơ phơ phất;
Của yến anh này đây khúc tình si;
Và này đây ánh sáng chớp hàng mi,
10. Mỗi buổi sớm, thần Vui hằng gõ cửa;
Tháng giêng ngon như một cặp môi gần;
Tôi sung sướng. Nhưng vội vàng một nửa:
Tôi không chờ nắng hạ mới hoài xuân.
Xuân đương tới, nghĩa là xuân đương qua,
15. Xuân còn non, nghĩa là xuân sẽ già,
Mà xuân hết, nghĩa là tôi cũng mất.
Lòng tôi rộng, nhưng lượng trời cứ chật,
Không cho dài thời trẻ của nhân gian,
Nói làm chi rằng xuân vẫn tuần hoàn,
20. Nếu tuổi trẻ chẳng hai lần thắm lại!
Còn trời đất, nhưng chẳng còn tôi mãi,
Nên bâng khuâng tôi tiếc cả đất trời;
Mùi tháng năm đều rớm vị chia phôi,
Khắp sông núi vẫn than thầm tiễn biệt…
25. Con gió xinh thì thào trong lá biếc,
Phải chăng hờn vì nỗi phải bay đi?
Chim rộn ràng bỗng đứt tiếng reo thi,
Phải chăng sợ độ phai tàn sắp sửa?
Chẳng bao giờ, ôi! Chẳng bao giờ nữa…
30. Mau đi thôi! Mùa chưa ngả chiều hôm,
Ta muốn ôm
Cả sự sống mới bắt đầu mơn mởn;
Ta muốn riết mây đưa và gió lượn,
Ta muốn say cánh bướm với tình yêu,
35. Ta muốn thâu trong một cái hôn nhiều
Và non nước, và cây, và cỏ rạng,
Cho chếnh choáng mùi thơm, cho đã đầy ánh sáng,
Cho no nê thanh sắc của thời tươi;
- Hỡi xuân hồng, ta muốn cắn vào ngươi!
(Ngữ văn 11, tập 2 nâng cao, NXB Giáo dục, 2007, trang 27-29)