Đề thi học sinh giỏi lớp 9 THCS tỉnh Ninh Bình năm 2012 - 2013
SỞ GIÁO DỤC VÀ ĐÀO TẠO
|
ĐỀ THI CHỌN HỌC SINH GIỎI LỚP 9 THCS
|
ĐỀ THI MÔN: TOÁN
Câu 1 (4 điểm).
Cho phương trình x2 + (4m + 1)x + 2(m - 4) = 0 (1) (x là ẩn số, m là tham số).
1. Chứng minh rằng phương trình (1) luôn có hai nghiệm phân biệt với mọi m.
2. Gọi x1, x2 là hai nghiệm của (1). Tìm m để |x1 - x2| = 17.
Câu 2 (4 điểm).
Cho biểu thức: 
1. Rút gọn P.
2. Tìm giá trị của x để P = 3.
Câu 3 (4 điểm).
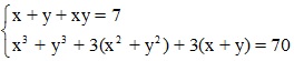
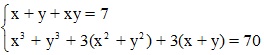
1. Giải hệ phương trình: 
2. Giải phương trình: ![]()
Câu 4 (5 điểm).
Cho đường tròn tâm O đường kính AB cố định. Ax và Ay là hai tia thay đổi luôn tạo với nhau góc 600, nằm về hai phía của AB, cắt đường tròn (O) lần lượt tại M và N. Đường thẳng BN cắt Ax tại E, đường thẳng BM cắt Ay tại F. Gọi K là trung điểm của đoạn thẳng EF.
1. Chứng minh rằng EF/AB = √3.
2. Chứng minh OMKN là tứ giác nội tiếp.
3. Khi tam giác AMN đều, gọi C là điểm di động trên cung nhỏ AN (C # A, C # N). Đường thẳng qua M và vuông góc với AC cắt NC tại D. Xác định vị trí của điểm C để diện tích tam giác MCD là lớn nhất.
Câu 5 (3 điểm).
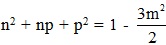
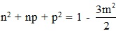
1. Cho các số thực m, n, p thoả mãn:
. Tìm giá trị lớn nhất và nhỏ nhất của biểu thức S = m + n + p.
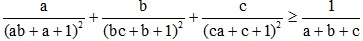
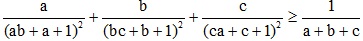
2. Cho các số thực dương a, b, c thoả mãn abc = 1. Chứng minh rằng:![]()
Đẳng thức xảy ra khi nào?
ĐỀ THI MÔN: NGỮ VĂN
Câu 1 (2,0 điểm):
Cày đồng đang buổi ban trưa,
Mồ hôi thánh thót như mưa ruộng cày.
Chỉ ra những biện pháp tu từ được sử dụng trong câu ca dao trên? Hiệu quả nghệ thuật của biện pháp tu từ đó?
Câu 2 (6,0 điểm):
Giữa một vùng sỏi đá khô cằn, có những loài cây vẫn mọc lên và nở những chùm hoa thật đẹp.
Suy nghĩ của em được gợi ra từ hiện tượng trên (bài viết không quá 02 trang giấy thi).
Câu 3 (12,0 điểm):
Có ý kiến cho rằng: Bài thơ “Mùa xuân nho nhỏ” là tiếng lòng thể hiện tình yêu và khát vọng được cống hiến cho đời của Thanh Hải.
Hãy phân tích bài thơ để làm sáng tỏ ý kiến trên.
Văn bản: Mùa xuân nho nhỏ (Thanh Hải)
Mọc giữa dòng sông xanh
Một bông hoa tím biếc
Ơi con chim chiền chiện
Hót chi mà vang trời
Từng giọt long lanh rơi
Tôi đưa tay tôi hứng.
Mùa xuân người cầm súng
Lộc giắt đầy trên lưng
Mùa xuân người ra đồng
Lộc trải dài nương mạ
Tất cả như hối hả
Tất cả như xôn xao…
Đất nước bốn ngàn năm
Vất vả và gian lao
Đất nước như vì sao
Cứ đi lên phía trước. Ta làm con chim hót
Ta làm một cành hoa
Ta nhập vào hòa ca
Một nốt trầm xao xuyến.
Một mùa xuân nho nhỏ
Lặng lẽ dâng cho đời
Dù là tuổi hai mươi
Dù là khi tóc bạc.
Mùa xuân - ta xin hát
Câu Nam ai, Nam bình
Nước non ngàn dặm mình
Nước non ngàn dặm tình
Nhịp phách tiền đất Huế.
Tháng 11 – 1980 (SGK Ngữ văn 9 tập 2, NXB Giáo dục, Hà Nội 2012, tr 55 - 56)