Giải bài tập Vật lý 10 nâng cao bài 6: Sự rơi tự do
Giải bài tập Vật lý lớp 10 nâng cao bài 6: Sự rơi tự do hướng dẫn giải chi tiết bài tập môn Lý 10 nâng cao, giúp cho quý thầy cô cùng các bạn học sinh dễ dàng hơn trong việc tìm kiếm những tài liệu hay phục vụ quá trình giảng dạy và học tập môn Vật lý lớp 10. Chúc các em học tốt.
Bài tập: Sự rơi tự do
Câu c1 (trang 29 sgk Vật Lý 10 nâng cao): Người nhảy dù có rơi tự do không ?
Lời giải:
Khi người nhảy dù chưa bung dù rơi thẳng đứng, lực cản của không khí là nhỏ không đáng kể so với trọng lực của người, vì vậy được coi là rơi tự do. Khi người nhảy dù bung dù, lực cản của không khí rất lớn, sự rơi của người và dù khi đó không được coi là rơi tự do.
Câu c2 (trang 30 sgk Vật Lý 10 nâng cao): Rơi tự do là chuyển động đều hay là nhanh dần đều? Làm thế nào biết được điều đó?
Lời giải:
Rơi tự do là chuyển động nhanh dần đều.
Thí nghiệm chứng minh : Gắn vào vật nặng một băng giấy và luồn băng giấy qua khe một bộ rung đặt cố định ở một độ cao. Thả vật nặng rơi tự do đồng thời cho bộ rung hoạt động. Bút đầu rung đánh dấu vào băng giấy những điểm liên tiếp cách nhau 0,02s.
Gọi ΔS1, ΔS2, ΔS3, ... là những quãng đường vật rơi được trong các khoảng thời gian bằng nhau Δt = 0,02s.
Kết quả cho ta:
ΔS2 - ΔS1 = ΔS3 - ΔS2 = ΔS4 - ΔS3 = ... = hằng số.
Kết quả này phù hợp với đặc điểm của chuyển động nhanh dần đều.
Câu c3 (trang 31 sgk Vật Lý 10 nâng cao): Hãy xác định các yếu tố của vectơ gia tốc rơi tự do.
Lời giải:
Các yếu tố của vectơ gia tốc rơi tự do là:
+ Phương của vectơ g: thẳng đứng (phương của véctơ g trùng với phương véctơ P)
+ Chiều của vectơ g: chiều từ trên xuống vì chuyển động rơi tự do là chuyển động nhanh dần đều nên hướng của g cùng hướng vectơ v (chiều của vectơ g cùng chiều vectơ trọng lực P)
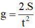
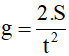
+ Độ lớn của gia tốc:

Với: S là quãng đường vật rơi được trong thời gian t kể từ lúc ban dầu.
Câu 1 (trang 31 sgk Vật Lý 10 nâng cao): Thế nào là rơi tự do?
Lời giải
Khi không có lực cản của không khí, các vật có hình dạng và khối lượng khác nhau đều rơi như nhau, ta bảo rằng chúng rơi tự do.
Vậy: Sự rơi tự do là sự rơi của một vật chỉ chịu tác dụng của trọng lực.
Câu 2 (trang 31 sgk Vật Lý 10 nâng cao): Hãy nêu các đặc điểm của chuyển động rơi tự do của một vật.
Lời giải
Các đặc điểm của chuyển động rơi tự do:
- Phương thẳng đứng, chiều hướng xuống.
- Rơi tự do là chuyển động nhanh dần đều với gia tốc g.
- Gia tốc g không phụ thuộc khối lượng của vật, chỉ phụ thuộc vĩ độ địa lí, độ cao và cấu trúc địa chất nơi đo nó.
Câu 3 (trang 31 sgk Vật Lý 10 nâng cao): Hãy viết công thức liên hệ giữa vận tốc ném lên theo phương thẳng đứng và độ cao đạt được.
Lời giải:
Gọi v0 là vận tốc ban đầu của vật được ném lên từ mặt đất. Chọn trục Ox thẳng đứng, chiều dương hướng lên, gốc tại mặt đất.
Áp dụng công thức: v2 - v02 = 2a. Δx
Khi lên độ cao cực đại thì vật dừng lại : v = 0
Từ lúc ném cho đến khi đạt độ cao cực đại vật chỉ chuyển động theo một chiểu dương, do dó Δx = S = hmax.
Vật chuyển động chậm dần đều dưới tác dụng duy nhất cua trọng lực nên gia tốc trái dấu với vận tốc: a = -g.
Từ đó ta suy ra:

Bài 1 (trang 32 sgk Vật Lý 10 nâng cao): Chọn câu sai.
- Khi rơi tự do mọi vật chuyển động hoàn toàn như nhau.
- Vật rơi tự do khi không chịu sức cản của không khí.
- Người nhảy dù đang rơi tự do
- Mọi vật chuyển động gần mặt đất đều chịu gia tốc rơi tự do.
Lời giải:
Đáp án C sai.
Vì theo hình bên người nhảy dù rơi nằm ngang, dang tay, làm cho lực cản của không khí là đáng kể, do đó không được coi là rơi tự do.
Bài 2 (trang 32 sgk Vật Lý 10 nâng cao): Một vật rơi tự do không vận tốc đầu từ độ cao 5m. Tìm vận tốc của nó khi chạm đất.
Lời giải:
Áp dụng công thức : V = √(2gh)= √(2.9,8.5) = 9,9 m/s.
Bài 3 (trang 32 sgk Vật Lý 10 nâng cao): Một vật được thả từ trên máy bay ở độ cao 80m. Cho rằng vật rơi tự do. Tính thời gian rơi
Lời giải:
Công thức tính thời gian rơi tự do từ độ cao ban đầu h là:

Bài 4 (trang 32 sgk Vật Lý 10 nâng cao): Hai viên bi sắt được thả rơi từ cùng một độ cao cách nhau một khoảng thời gian 0,5s. Tính khoảng cách giữa hai viên bi sau khi viên bi thứ nhất rơi được 1s; 1,5s.
Lời giải:
* Theo đề: Khi bi (1) rơi được 1s thì bi (2) rơi được 1 - 0,5 = 0,5s.
Lấy g = 9,8 m/s2
Quãng đường bi (1) rơi được là:

Vậy khoảng cách hai bi sau khi bi (1) rơi được 1 giây là:
ΔS = S1 - S2 = 4,9 – 1,225 = 3,68 (m).
* Khi bi (1) rơi được t1 = 1,5 giây thì bi (2) rơi được t2 = 1 giây.
Quãng đường bi (1) rơi được là:

Vậy khoảng cách hai bi sau khi bi (1) rơi được 1,5 giây là:
ΔS = S1 – S2 = 11,03 – 4,9 = 6,13 (m).
Trên đây VnDoc đã giới thiệu tới các bạn bài tập môn Vật lý 10: Giải bài tập Vật lý 10 nâng cao bài 6: Sự rơi tự do. Để có kết quả cao hơn trong học tập, VnDoc xin giới thiệu tới các bạn học sinh tài liệu Chuyên đề Vật lý 10, Giải bài tập Vật lý lớp 10, Giải bài tập Vật Lí 10, Tài liệu học tập lớp 10 mà VnDoc tổng hợp và giới thiệu tới các bạn đọc.