Giải bài tập Vật lý 10 nâng cao bài 7: Bài tập về chuyển động thẳng biến đổi đều
Giải bài tập Vật lý lớp 10 nâng cao bài 7: Bài tập về chuyển động thẳng biến đổi đều hướng dẫn giải chi tiết bài tập môn Lý 10 nâng cao, giúp cho quý thầy cô cùng các bạn học sinh dễ dàng hơn trong việc tìm kiếm những tài liệu hay phục vụ quá trình giảng dạy và học tập môn Vật lý lớp 10. Chúc các em học tốt.
Bài tập: Bài tập về chuyển động thẳng biến đổi đều
Bài 1 (trang 36 sgk Vật Lý 10 nâng cao): Một ô tô đang chuyển động thẳng với vận tốc 72km/h thì giảm đều tốc độ cho đến khi dừng lại. Biết rằng sau quãng đường 50m, vận tốc giảm đi còn một nửa.
a) Tính gia tốc của xe.
b) Quãng đường đi được từ lúc vận tốc còn một nửa cho đến lúc xe dừng hẳn là bao nhiêu?
Lời giải:
a) Ban đầu: v0 = 72km/h = 20m/s, sau quãng đường S = 50m, vận tốc ô tô giảm còn v = v0/2 = 10m/s
Áp dụng công thức = v2 - v02 = 2a.Δx. Vì ô tô chuyển động không đổi chiều và chọn chiều chuyển động làm chiều dương nên S = Δx (S là quãng đường đi được).
Suy ra gia tốc của xe:

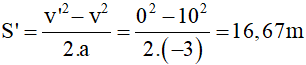
b) Khi xe dừng hẳn thì v’ = 0.
Quãng đường đi được từ lúc vận tốc còn một nửa v = 10m/s cho đến lúc xe dừng hẳn (v’ = 0) là:

Bài 2 (trang 36 sgk Vật Lý 10 nâng cao): Một người thợ xây ném một viên gạch theo phương thẳng đứng cho một người khác ở trên tầng cao 4m. Người này chỉ việc giơ tay ngang ra là bắt được viên gạch. Hỏi vận tốc ném là bao nhiêu để cho vận tốc viên gạch lúc người kia bắt được bằng 0?
Lời giải:
Chọn chiều dương của trục tọa độ thẳng đứng là hướng lên, gốc tại điểm ném (coi như tại mặt đất) : Δx = S.
Ta có: v2-v02 = 2aS với a = -g, tại độ cao S = 4m thì v = 0
Do đó: -v02 = 2.(-9,8).4 = - 78,4 ⇒ v0 = 8,85 m/s
Lưu ý: Chuyển động ném lên là chuyển động chậm dần đều dưới tác dụng của trọng lực, do đó: a.v < 0
Vì chọn chiều dương hướng lên tức cùng chiều chuyển động nên v > 0 ⇒ a < 0 (a = -g = -9,8 m/s2)
Bài 3 (trang 36 sgk Vật Lý 10 nâng cao): Người ta ném một vật từ mặt đất lên trên cao theo phương thẳng đúng với vận tốc 4,0 m/s. Hỏi sau bao lâu thì vật đó rơi, chạm đất? Độ cao cực đại vật đạt được là bao nhiêu? Vận tốc khi chạm đất là bao nhiêu?
Lời giải:
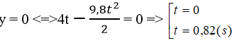
a) Chọn trục tọa độ Oy thẳng đứng, hướng lên, gốc tại mặt đất (điểm ném). Phương trình chuyển động là:

Khi vật chạm đất thì:

Vậy sau thời gian 0,82 giây kể từ lúc ném,vật rơi tới đất.
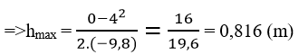
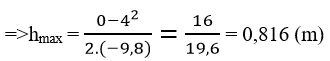
b) Độ cao cực đại mà vật đạt được:
áp dụng công thức v2-v02=2a.Δx với: v = 0; a = -g = -9,8; Δx = hmax

Vậy độ cao cực đại mà vật đạt được so với mặt đất là 0,816 (m)
c) Vận tốc khi chạm đất:
v = v0 + at = v0 – gt = 4 – 9,8.0,82 = -4,04m/s ≈ -4m/s
Vậy khi rơi đến mặt đất vật có vận tốc bằng lúc ném lên nhưng chuyển động là ngược chiều.
Bài 4 (trang 36 sgk Vật Lý 10 nâng cao): Một máy bay chở khách muốn cất cánh được phải chạy trên đường băng dài 1,8km để đạt vận tốc 300km/h. Hỏi máy bay phải có gia tốc không đổi tối thiểu bằng bao nhiêu?
Lời giải:
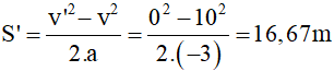
Ban đầu máy bay có vận tốc v0 = 0m/s, để cất cánh được thì sau quãng đường Smax = 1,8km = 1800m nó phải có vận tốc:

Vậy amin = 1,93m/s2.
Bài 5 (trang 36 sgk Vật Lý 10 nâng cao): Một đoàn tàu rời ga chuyển động nhanh dần đều với gia tốc 0,1 m/s2 trên đoạn đường 500m, sau đó thì chuyển động đều. Hỏi sau 1h, tàu đi được quãng đường bằng bao nhiêu?
Lời giải:
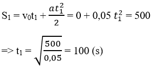
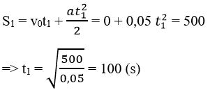
*Thời gian để tàu rời ga đi hết quãng đường 500m là:

*Tại thời điểm t = 100s vận tốc của tàu là:
v = v0 + at1 = 0 + 0,1.100 = 10 m/s
*v = 10m/s cũng chính là vận tốc của chuyển động thẳng đều trên quãng đường tiếp theo.
*Thời gian tàu chuyển động thẳng đều theo đề cho là:
t2 = 3600 – 100 = 3500 (s)
*Quãng đường tàu chạy trong thời gian t2 là:
S2 = v.t2 = 10.3500 = 35000 (m)
Vậy sau 1h kể từ lúc rời ga, tàu chạy được quãng đường là:
S = S1 + S2 = 500 + 3500 = 35500 (m)
Trên đây VnDoc đã giới thiệu tới các bạn bài tập môn Vật lý 10: Giải bài tập Vật lý 10 nâng cao bài 7: Bài tập về chuyển động thẳng biến đổi đều. Để có kết quả cao hơn trong học tập, VnDoc xin giới thiệu tới các bạn học sinh tài liệu Chuyên đề Vật lý 10, Giải bài tập Vật lý lớp 10, Giải bài tập Vật Lí 10, Tài liệu học tập lớp 10 mà VnDoc tổng hợp và giới thiệu tới các bạn đọc.