Câu 1:
Các cá thể trong quần thể luôn gắn bó chặt chẽ với nhau thông qua các mối quan hệ:
Để ôn tập và chuẩn bị thật tốt cho kì thi THPT Quốc gia năm 2016 sắp tới, mời các bạn tham khảo bài test Đề thi thử THPT Quốc gia môn Sinh học năm 2016 Trường THPT Chuyên Bến Tre (Lần 3) trên trang VnDoc.com. Hi vọng bài test sẽ là tài liệu bổ ích cho quá trình ôn tập của các bạn! Chúc các bạn thi tốt!
Mời các bạn tham khảo thêm bài test: Đề thi thử THPT Quốc gia môn Sinh học năm 2016 Trường THPT Chuyên Bến Tre (Lần 2)
Điểm khả dụng: 0 điểm
Bạn sẽ dùng 50 điểm để đổi lấy 1 lượt làm bài.
Bạn không đủ điểm để đổi.
Câu 1:
Các cá thể trong quần thể luôn gắn bó chặt chẽ với nhau thông qua các mối quan hệ:
Câu 2:
Hai loài sinh vật sống ở hai khu vực địa lí khác nhau (hai châu lục khác nhau) có nhiều đặc điểm giống nhau. Cách giải thích nào dưới đây về sự giống nhau giữa hai loài là hợp lý hơn cả?
Câu 3:
Bệnh hoặc hội chứng nào sau đây do đột biến cấu trúc nhiễm sắc thể?
(1) Bệnh bạch tạng. (2) Bệnh tiểu đường. (3) Bệnh mù màu.
(4) Bệnh máu khó đông. (5) Bệnh ung thư máu. (6) Hội chứng Đao.
(7) Hội chứng Claiphentơ. (8) Hội chứng tiếng mèo kêu.
Câu 4:
Khi nói về mối quan hệ vật kí sinh – vật chủ, phát biểu nào sau đây đúng?
Câu 5:
Những tài nguyên nào sau đây sau một thời gian sử dụng sẽ bị cạn kiệt?
(1) Than ở Quảng Ninh. (2) Năng lượng thủy triều. (3) Năng lượng mặt trời.
(4) Thiếc ở Cao Bằng. (5) Động vật và thực vật. (6) Đá vôi ở Hà Tiên.
Câu 6:
Điều nào sau đây không đúng với học thuyết tiến hóa của Đacuyn?
Câu 7:
Mã di truyền mang tính thoái hóa, nghĩa là nhiều bộ ba khác nhau cùng xác định một loại axit amin, ngoại trừ:
Câu 8:
Có bao nhiêu cặp bố mẹ sau đây phù hợp với phép lai phân tích?
(1) P: AA x Aa. (2) P: AA x aa. (3) P: Aa x Aa. (4) P: Aa x aa. (5) P: aa x aa.
Câu 9:
Theo thuyết tiến hóa hiện đại, phát biểu nào sau đây đúng?
Câu 10:
Loại đột biến nào sau đây xảy ra trên một nhiễm sắc thể làm thay đổi vị trí của gen?
Câu 11:
Trong các ví dụ dưới đây, có bao nhiêu ví dụ minh họa cho kiểu phân bố đồng đều của các cá thể trong quần thể?
(1) Đàn trâu rừng. (2) Cây thông trong rừng thông.
(3) Chim hải âu làm tổ. (4) Các loài sâu sống trên tán lá cây.
(5) Các loài sống trong phù sa vùng triều.
Câu 12:
Hiện tượng dòng gen:
Câu 13:
Dùng phép lai nào sau đây để xác định được một tính trạng nào đó do gen trong nhân hay gen nằm ngoài nhân qui định?
Câu 14:
Có bao nhiêu nhận định sau đây không đúng theo quan điểm của học thuyết tiến hóa tổng hợp hiện đại?
(1) Các cơ chế cách li là nhân tố tiến hóa đóng một vai trò rất quan trọng trong quá trình tiến hóa hình thành loài, giúp bảo toàn đặc điểm riêng cho mỗi loài.
(2) Các quần thể cùng loài sống ở các điều kiện địa lí khác nhau, chọn lọc tự nhiên sẽ làm thay đổi tần số alen của các quần thể đó theo những hướng khác nhau.
(3) Sự sai khác về vốn gen giữa các quần thể cách li địa lí, đến một lúc nào đó có thể xuất hiện sự cách li sinh sản như cách li tập tính, cách li mùa vụ... làm xuất hiện loài mới.
(4) Khi một nhóm sinh vật tiên phong di cư tới đảo mới, điều kiện sống mới và sự cách li tương đối về mặt địa lí dễ dàng biến quần thể nhập cư thành một loài mới sau một thời gian tiến hóa.
(5) Nếu kích thước quần thể quá nhỏ thì tần số alen có thể bị thay đổi hoàn toàn do yếu tố ngẫu nhiên.
Câu 15:
Kết luận nào sau đây không đúng?
Câu 16:
Nghiên cứu về sự phát sinh loài người, các bằng chứng hóa thạch cho thấy:Câu 17:
Khi nói về các đặc trưng cơ bản của quần xã sinh vật, phát biểu nào sau đây đúng?Câu 18:
Trình tự các gen trong một opêron Lac như sau:Câu 19:
Khi nói về mối quan hệ giữa các loài trong quần xã sinh vật, phát biểu nào sau đây sai?Câu 20:
Phát biểu nào sau đây sai khi nói về quá trình nhân đôi ADN?Câu 21:
Trong một khu rừng nhiệt đới có các cây gỗ lớn và nhỏ mọc gần nhau. Vào một ngày gió lớn, một cây to bị đổ ở giữa rừng tạo nên một khoảng trống lớn. Hãy sắp xếp các dữ kiện sau đây để dự đoán quá trình diễn thế xảy ra trong khoảng trống đó.Câu 22:
Điều nào sau đây không đúng khi nói về vai trò của các loại ARN trong quá trình dịch mã?Câu 23:
Điều nào sau đây sai khi nói về vai trò của các loài cộng sinh trong địa y?Câu 24:
Một đầm nước nông nuôi cá có ba bậc dinh dưỡng: vi khuẩn lam và tảo (bậc 1); động vật phù du (bậc 2); tôm, cá nhỏ (bậc 3). Do nguồn chất khoáng tích tụ nhiều năm từ các chất ô nhiễm ở đáy đầm tạo cho vi khuẩn lam và tảo bùng phát. Để tránh hệ sinh thái đầm bị ô nhiễm nặng hơn do hiện tượng phì dưỡng (phú dưỡng hóa), cách làm tốt nhất là loại bỏ:Câu 25:
Nguyên nhân chính dẫn đến hiệu ứng nhà kính trên Trái Đất là do:Câu 26:
Luật hôn nhân và gia đình cấm những người có họ hàng gần kết hôn với nhau nhằm:Câu 27:
Để xác định được mức phản ứng của một kiểu gen ở một con vật nào đó, điều trước tiên là phải:Câu 28:
Điều nào sau đây đúng khi nói về ưu thế lai?Câu 29:
Guanin dạng hiếm (G*) kết cặp với timin trong quá trình nhân đôi ADN, tạo nên đột biến thay thế:Câu 30:
Sử dụng phương pháp nào sau đây có thể tạo ra giống mới mang đặc điểm của hai loài mà tạo giống bằng cách lai hữu tính thông thường không thể thực hiện được?Câu 31:
Ở một loài thực vật, khi đem lai giữa hai cây thuần chủng hoa đỏ, thân cao 120cm với cây hoa trắng, thân cao 100cm người ta thu được F1 toàn cây hoa đỏ, thân cao 100cm. Cho F1 giao phấn ngẫu nhiên với nhau, thu được F2 phân li theo tỉ lệ:Câu 32:
Giai đoạn phân bào được vẽ dưới đây biểu diễn:
Câu 33:
Ở ngô, màu lớp áo của hạt được quy định bởi một locut duy nhất; trong đó alen A tạo cho hạt có màu, còn alen a tạo ra hạt không màu. Một locut khác quy định hình dạng hạt; trong đó alen B quy định hạt trơn, còn alen b quy định hạt nhăn. Trong một phép lai giữa một cây được trồng từ hạt trơn có màu với một cây được trồng từ hạt nhăn không màu, người ta thu được số hạt như sau: 473 hạt trơn có màu; 16 hạt nhăn có màu; 16 hạt trơn không màu, 469 hạt nhăn không màu. Tính theo lí thuyết, kiểu gen của cây bố, mẹ và tần số hoán vị gen (f) lần lượt là:Câu 34:
Ở một loài động vật ngẫu phối, xét bốn lôcut gen như sau: lôcut một có 3 alen, lôcut hai có 4 alen, lôcut ba có 5 alen, locut bốn có 2 alen. Lôcut một và hai cùng nằm trên cặp nhiễm sắc thể thứ nhất, lôcut ba nằm trên cặp nhiễm sắc thể thứ hai, lôcut bốn nằm trên vùng tương đồng của nhiễm sắc thể giới tính X và Y. Tính theo lí thuyết, trong quần thể sẽ có tối đa bao nhiêu loại kiểu gen dị hợp cả 4 cặp gen đang xét?Câu 35:
Một loài thực vật thụ phấn tự do có gen A qui định hạt tròn là trội hoàn toàn so với gen a qui định hạt dài; gen B qui định hạt đỏ là trội hoàn toàn so với gen b qui định hạt trắng. Hai cặp gen A, a và B, b phân li độc lập. Khi thu hoạch ở một quần thể cân bằng di truyền, thu được 68,25% hạt tròn, đỏ; 22,75% hạt tròn, trắng; 6,75% hạt dài, đỏ; 2,25% hạt dài, trắng. Nếu vụ sau mang tất cả các hạt có kiểu hình tròn, trắng ra trồng thì tỉ lệ kiểu hình hạt dài, trắng mong đợi khi thu hoạch là:Câu 36:
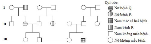
Phả hệ dưới đây mô phỏng sự di truyền của bệnh “P” và bệnh “Q” ở người. Hai bệnh này do hai alen lặn nằm trên hai cặp nhiễm sắc thể thường khác nhau gây ra.
Câu 37:
Trong quá trình giảm phân ở một cơ thể có kiểu gen AabbXDEXde đã xảy ra hoán vị gen giữa các alen E và e với tần số 10%. Cho biết không xảy ra đột biến, tính theo lí thuyết, tỉ lệ loại giao tử AbXDE được tạo ra từ cơ thể này là:Câu 38:
Trong một khu rừng ở Canada, cỏ cung cấp thức ăn cho thỏ, thỏ làm mồi cho mèo rừng. Đàn thỏ trung bình chỉ sử dụng 10% năng lượng của cỏ làm thức ăn, phần lớn còn lại được các nhóm động vật ăn cỏ khác chia sẻ. Ở đây có một gia đình mèo rừng gồm 9 con, bình quân mỗi con trong một ngày cần 2800 kcal năng lượng khai thác từ thỏ để sinh sống bình thường. Vậy trong một năm thì vùng hoạt động của gia đình mèo rừng phải rộng bao nhiêu ha mới có đủ thức ăn là thỏ? Biết rằng, thỏ ăn cỏ, mà năng suất cỏ (phần sử dụng được) là 3,5 tấn tươi/ha/năm và năng lượng chứa trong một tấn cỏ tươi tương ứng là 547,5 kcal.Câu 39:
Ở một loài thực vật, một gen qui định một tính trạng, các gen trội lặn hoàn toàn. Cho phép lai (P): AaBbDd x AaBbdd. Nhận định nào sau đây không đúng khi nói về F1?Câu 40:
Ở ruồi giấm, alen A quy định thân xám trội hoàn toàn so với alen a quy định thân đen; alen B quy định cánh dài trội hoàn toàn so với alen b quy định cánh cụt. Các gen quy định màu thân và hình dạng cánh cùng nằm trên một nhiễm sắc thể thường. Alen D quy định mắt đỏ trội hoàn toàn so với alen d quy định mắt trắng nằm trên đoạn không tương đồng của nhiễm sắc thể giới tính X. Cho giao phối ruồi cái thân xám, cánh dài, mắt đỏ với ruồi đực thân xám, cánh dài, mắt đỏ (P), trong tổng số các ruồi thu được ở F1, ruồi có kiểu hình thân đen, cánh cụt, mắt trắng chiếm tỉ lệ 1,875%. Biết rằng không xảy ra đột biến, tính theo lí thuyết, tỉ lệ cá thể mang hai tính trạng trội và một tính trạng lặn ở F1 là:Câu 41:
Xét 1000 tế bào sinh tinh mang kiểu gen AabbDd thực hiện quá trình giảm phân tạo giao tử, trong đó có 100 tế bào xảy ra hiện tượng cặp nhiễm sắc thể (NST) chứa cặp gen Aa không phân li trong giảm phân I; 200 tế bào khác có cặp NST chứa cặp gen bb không phân li trong giảm phân I; các tế bào còn lại giảm phân bình thường. Tính theo lí thuyết, tổng số loại giao tử được tạo ra tối đa là:Câu 42:
Một gen ở sinh vật nhân thực có chiều dài 0,612và có 4650 liên kết hiđrô. Mạch 1 của gen có số nuclêôtit loại ađênin chiếm 30% và số nuclêôtit loại guanin chiếm 10% tổng số nuclêôtit của mạch. Gen này phiên mã 1 lần cần môi trường nội bào cung cấp 540 ađênin, tính theo lí thuyết, môi trường nội bào cung cấp số nuclêôtit loại uraxin, guanin, xitozin lần lượt là:Câu 43:
Ở một loài thực vật, alen A quy định quả đỏ trội hoàn toàn so với alen a quy định quả vàng. Dùng cônsixin xử lí thành công các hạt của cây lưỡng bội (P), sau đó đem gieo các hạt này thu được các cây F1. Chọn ngẫu nhiên hai cây F1 cho giao phấn với nhau, thu được F2 gồm 4025 cây quả đỏ và 115 cây quả vàng. Cho biết quá trình giảm phân không xảy ra đột biến, các cây tứ bội đều tạo giao tử 2n có khả năng thụ tinh. Tính theo lí thuyết, trong tổng số cây hoa đỏ ở F2, cây mang kiểu gen dị hợp tử kép chiếm tỉ lệ:Câu 44:
Ở một loài thực vật, alen A quy định thân cao trội hoàn toàn so với alen a quy định thân thấp; alen B quy định hoa đỏ trội hoàn toàn so với alen b quy định hoa trắng; alen D quy định quả tròn trội hoàn toàn so với alen d quy định quả dài. Cho cây thân cao, hoa đỏ, quả tròn (P) tự thụ phấn, thu được F1 gồm: 750 cây thân cao, hoa đỏ, quả tròn; 249 cây thân thấp, hoa đỏ, quả tròn; 376 cây thân cao, hoa đỏ, quả dài; 124 cây thân thấp, hoa đỏ, quả dài; 376 cây thân cao, hoa trắng, quả tròn; 125 cây thân thấp, hoa trắng, quả tròn. Biết rằng không xảy ra đột biến, kiểu gen của (P) là:Câu 45:
Biết rằng mỗi gen quy định một tính trạng, alen trội là trội hoàn toàn, hai cặp gen cùng nằm trên một cặp nhiễm sắc thể thường, liên kết gen hoàn toàn. Có bao nhiêu phép lai dưới đây cho đời con có tỉ lệ kiểu gen giống với tỉ lệ kiểu hình?
Câu 46:
Có 10 tế bào mầm phân bào liên tiếp với số lần như nhau ở vùng sinh sản, môi trường cung cấp 2480 nhiễm sắc thể đơn, tất cả các tế bào con đến vùng chín giảm phân đã đòi hỏi môi trường tế bào cung cấp thêm 2560 nhiễm sắc thể đơn. Hiệu suất thụ tinh của giao tử là 10% và tạo ra 128 hợp tử. Biết không có hiện tượng trao đổi chéo xảy ra trong giảm phân. Nhận định nào sau đây sai?Câu 47:
Khi cho ruồi cái cánh xẻ lai với ruồi đực cánh bình thường (P), thu được F1 gồm: 117 con cái cánh bình thường; 116 con cái cánh xẻ và 119 con đực cánh bình thường. Phát biểu nào sau đây không phù hợp với phép lai này? Biết rằng hình dạng cánh do một gen chi phối.Câu 48:
Ở thực vật, xét một locut gen có 4 alen, alen a1 qui định hoa đỏ, alen a2 qui định hoa vàng, alen a3 qui định hoa hồng và alen a4 qui định hoa trắng. Biết các gen trội hoàn toàn theo thứ tự a1 > a2 > a3 > a4. Theo lí thuyết, có bao nhiêu nhận định sau đây đúng?Câu 49:
Ở một quần thể động vật sinh sản hữu tính, giới đực là dị giao tử (XY), giới cái là đồng giao tử (XX), có tần số alen A (nằm ở vùng không tương đồng trên NST X) tại thế hệ F1 ở giới đực là 0,2 và ở giới cái là 0,45. Các cá thể của quần thể giao phối ngẫu nhiên với nhau qua các thế hệ. Tần số alen A của giới đực ở thế hệ P và tần số alen A của giới cái ở thế hệ F2 lần lượt là:Câu 50:
Khi cho hai dòng thuần chủng cùng loài là cây hoa đỏ và cây hoa trắng giao phấn với nhau (P), thu được F1 100% cây hoa đỏ. Cho F1 giao phấn với nhau, thu được F2 gồm 483 cây hoa trắng và 357 cây hoa đỏ. Dựa vào kết quả trên, hãy cho biết trong các kết luận sau, có bao nhiêu kết luận đúng? Biết rằng không có hiện tượng gen gây chết và đột biến.
Đang tải...
Theo Nghị định 147/2024/ND-CP, bạn cần xác thực tài khoản trước khi sử dụng tính năng này. Chúng tôi sẽ gửi mã xác thực qua SMS hoặc Zalo tới số điện thoại mà bạn nhập dưới đây: