Giao diện mới của VnDoc Pro: Dễ sử dụng hơn - chỉ tập trung vào lớp bạn quan tâm. Vui lòng chọn lớp mà bạn quan tâm: Lưu và trải nghiệm
Đóng
Điểm danh hàng ngày
  • Hôm nay +3
  • Ngày 2 +3
  • Ngày 3 +3
  • Ngày 4 +3
  • Ngày 5 +3
  • Ngày 6 +3
  • Ngày 7 +5
Bạn đã điểm danh Hôm nay và nhận 3 điểm!
Nhắn tin Zalo VNDOC để nhận tư vấn mua gói Thành viên hoặc tải tài liệu Hotline hỗ trợ: 0936 120 169

Đề thi thử THPT Quốc gia môn Vật lý năm 2016 trường THPT Đa Phúc, Hà Nội (Lần 3)

Đóng
Bạn đã dùng hết 1 lần làm bài Trắc nghiệm miễn phí. Mời bạn mua tài khoản VnDoc PRO để tiếp tục! Tìm hiểu thêm
Mô tả thêm:

Đề thi thử đại học môn Vật lý 2016 có đáp án

Đề thi thử THPT Quốc gia môn Vật lý năm 2016 trường THPT Đa Phúc, Hà Nội (Lần 3) sẽ là tài liệu luyện thi môn Vật lý hay và hữu ích cho các bạn học sinh đang gấp rút ôn thi vào các trường đại học, cao đẳng trên cả nước. Mời các bạn tham khảo Đề thi thử THPT Quốc gia môn Vật lý năm 2016 trường THPT Đa Phúc, Hà Nội (Lần 3).

  • Thời gian làm: 90 phút
  • Số câu hỏi: 50 câu
  • Số điểm tối đa: 50 điểm
Bắt đầu làm bài
Bạn còn 1 lượt làm bài tập miễn phí. Hãy mua tài khoản VnDoc PRO để học không giới hạn nhé! Bạn đã HẾT lượt làm bài tập miễn phí! Hãy mua tài khoản VnDoc PRO để làm Trắc nghiệm không giới hạn và tải tài liệu nhanh nhé!
Mua ngay Đổi điểm
Trước khi làm bài bạn hãy
  • 1 Ôn tập kiến thức đã nêu trong phần Mô tả thêm
  • 2 Tìm không gian và thiết bị phù hợp để tập trung làm bài
  • 3 Chuẩn bị sẵn dụng cụ cần dùng khi làm bài như bút, nháp, máy tính
  • 4 Căn chỉnh thời gian làm từng câu một cách hợp lý
  • Câu 1: Nhận biết

    Câu 1:

    Đặt một điện áp xoay chiều có đồ thị như hình vẽ sau vào hai đầu một hộp đen X, biểu thức dòng điện chạy trong mạch có biểu thức i = 2cos(ωt - π/6) (A). Hộp đen X đơn giản nhất gồm
    Đề thi thử THPT Quốc gia môn Vật lý năm 2016 trường THPT Đa Phúc, Hà Nội (Lần 3)
  • Câu 2: Nhận biết

    Câu 2:

    Con lắc đơn chiều dài l dao động điều hòa với li độ góc cực đại a0 (rad) ở nơi có gia tốc rơi tự do g, chất điểm có khối lượng m. Mốc tính thế năng ở vị trí cân bằng. Cơ năng của con lắc là:
  • Câu 3: Nhận biết

    Câu 3:

    Trên mặt nước, hai nguồn kết hợp được đặt tại hai điểm O1 và O2 cách nhau 196cm, dao động điều hòa, cùng tần số, cùng pha theo phương vuông góc với mặt nước. Trên cả mặt chất lỏng người ta thấy hai điểm bất động gần nhau nhất cách nhau 10cm. Điểm M là một vị trí cân bằng của phần tử ở mặt nước thuộc đường tròn tâm O1 bán kính O1O2. Phần tử ở M dao động với biên độ cực đại. Khoảng cách O2M lớn nhất bằng

  • Câu 4: Nhận biết

    Câu 4:

    Trong thí nghiệm giao thoa khe Y-âng, nguồn sáng S phát ra đồng thời hai bức xạ đơn sắc có bước sóng λ1 = 0,64 μm và λ2 = 0,48 μm. Trên màn quan sát có hai điểm M và N là hai vân sáng cùng màu với vân sáng trung tâm. Trên đoạn MN đếm được 19 vân sáng trong đó có

  • Câu 5: Nhận biết

    Câu 5:

    Có hai máy cùng đo mức cường độ âm của cùng một nguồn âm phát ra với công suất P = 10W. Kết quả thu được của hai máy đo có giá trị lần lượt là 90dB và 100dB. Khoảng cách cực đại giữa hai máy đo có thể gấp bao nhiêu lần khoảng cách cực tiểu giữa chúng? Biết cường độ âm chuẩn Io = 10-12 W/m2.

  • Câu 6: Nhận biết

    Câu 6:

    Phản ứng hạt nhân thu nhiệt khi

  • Câu 7: Nhận biết

    Câu 7:

    Một sóng ngang truyền trong một môi trường thì phương dao động của các phần tử môi trường

  • Câu 8: Nhận biết

    Câu 8:

    Một chất điểm dao động điều hòa với chu kì T. Trong một chu kì, khoảng thời gian động năng không vượt quá ba lần thế năng là
  • Câu 9: Nhận biết

    Câu 9:

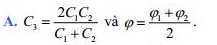
    Đặt một điện áp xoay chiều u = Uocos(ωt + φ) vào hai đầu đoạn mạch RLC nối tiếp có điện dung C thay đổi được. Khi C = C1 dòng điện trong mạch có biểu thức i1 = Iocos(ωt + φ1). Khi C = C2 dòng điện trong mạch có biểu thức i2 = Iocos(ωt + φ2). Khi C = C3 dòng điện trong mạch có giá trị hiệu dụng đạt cực đại. Khi đó ta có các mối liên hệ sau:
  • Câu 10: Nhận biết

    Câu 10:

    Lấy c =  3.108 m/s. Sóng Xone Fm phát trên VOV3 có tần số 102,7MHz thuộc loại sóng

  • Câu 11: Nhận biết

    Câu 11:

    Khi nói về tia hồng ngoại và tia tử ngoại, phát biểu nào sau đây là đúng?

  • Câu 12: Nhận biết

    Câu 12:

    Đặt một hiệu điện thế xoay chiều vào hai đầu một tụ điện có điện dung C. Khi hiệu điện thế tức thời giữa hai bản tụ bằng 100V thì cường độ dòng điện tức thời trong mạch có giá trị 2√3A. Khi hiệu điện thế tức thời giữa hai bản tụ bằng 100√2V thì cường độ dòng điện tức thời trong mạch có giá trị 2√2A. Biết khoảng thời gian tối thiểu từ lúc điện tích trên hai bản tụ điện cực đại đến khi tụ điện phóng hết điện là 0,0125s. Điện dung của tụ điện bằng
  • Câu 13: Nhận biết

    Câu 13:

    Hai chất điểm dao động điều có đồ thị dao động như hình vẽ. Khi đó pha dao động của x1 và x2 lần lượt là
    Đề thi thử THPT Quốc gia môn Vật lý năm 2016 trường THPT Đa Phúc, Hà Nội (Lần 3)
  • Câu 14: Nhận biết

    Câu 14:

    Kết luận nào sau đây sai khi nói về tia phóng xạ α?

  • Câu 15: Nhận biết

    Câu 15:

    Hai chất điểm dao động cùng phương, cùng tần số trên hai đường thẳng song song rất gần nhau. Vị trí cân bằng của hai chất điểm coi như trùng nhau. Biết rằng tổng li độ của hai vật có giá trị lớn nhất bằng một nửa khoảng cách cực đại giữa hai vật. Độ lệch pha của hai dao động có độ lớn cực đại bằng

  • Câu 16: Nhận biết

    Câu 16:

    Máy phát điện xoay chiều một pha, rôto là một nam châm có p cực quay với tốc độ góc n (vòng/s) thì tần số của suất điện động xoay chiều do nó sinh ra f (Hz) thỏa mãn hệ thức
  • Câu 17: Nhận biết

    Câu 17:

    Đặt một điện áp u = 220cos(100πt + 2π/3) (V) vào một đoạn mạch thì dòng điện trong mạch có biểu thức i = 2cos(100πt + π/3) (A). Công suất tiêu thụ của đoạn mạch bằng
  • Câu 18: Nhận biết

    Câu 18:

    Trên một sợi dây xuất hiện sóng dừng. M là một nút sóng, N là một vị trí cân bằng của một bụng sóng gần M nhất. Trên đoạn MN lấy một điểm P, đặt khoảng cách MP = d1 và khoảng cách NP = d2. Gọi A là biên độ dao động của phần tử N, λ là bước sóng của sóng cơ thì biên độ dao động tại P được tính theo công thức
  • Câu 19: Nhận biết

    Câu 19:

    Một chất điểm dao động với phương trình x = Acos(ωt + φ). Tỉ số giữa tốc độ trung bình của chất điểm khi nó chuyển động trực tiếp từ li độ A/2 đến li độ -A/2 và độ lớn vận tốc cực đại của nó là
  • Câu 20: Nhận biết

    Câu 20:

    Trong truyền tải điện năng đi xa. Nếu nâng hiệu điện thế lên 21kV trước khi truyền đi thì hiệu suất truyền tải điện năng đạt 80% và 1600 hộ dân đủ điện dùng. Cần nâng hiệu điện thế lên giá trị bằng bao nhiêu trước khi truyền đi để hiệu suất truyền tải điện năng đạt 95% và 2850 hộ dân đủ điện dùng? Coi mỗi hộ dân tiêu thụ một lượng điện năng như nhau.
  • Câu 21: Nhận biết

    Câu 21:

    Pin quang điện hoạt động dựa trên hiện tượng quang điện trong và biến đổi
  • Câu 22: Nhận biết

    Câu 22:

    Mạch RLC nối tiếp, cuộn dây thuần cảm. Đặt vào hai đầu đoạn mạch một hiệu điện thế xoay chiều có điện áp hiệu dụng không đổi, tần số thay đổi được. Điều chỉnh tần số từ giá trị f = f1 = 60 Hz đến giá trị f = f2 = 120 Hz người ta thấy công suất tiêu thụ của đoạn mạch không đổi. Điều chỉnh tần số đến giá trị f = f3 = 180 Hz thì hệ số công suất của đoạn mạch bằng 1/√2 . Hỏi khi điều chỉnh tần số đến giá trị f = f4 = 30 Hz thì hệ số công suất của đoạn mạch gần đúng bằng bao nhiêu?
  • Câu 23: Nhận biết

    Câu 23:

    Chiếu một chùm sáng trắng hẹp từ nước ra không khí sao cho tia sáng màu lục đi là là mặt nước. Những bức xạ đơn sắc không thể ló ra ngoài, không kể màu lục là
  • Câu 24: Nhận biết

    Câu 24:

    Con lắc đơn chiều dài l dao động điều hòa ở nơi có gia tốc rơi tự do g . Tần số góc của con lắc đơn là
  • Câu 25: Nhận biết

    Câu 25:

    Cho mạch điện như hình vẽ. Đặt vào hai đầu AB một hiệu điện thế xoay chiều. Biết điện trở có giá trị R = 60Ω và tụ điện khi đó có dung kháng ZC = 40Ω. X là một hộp đen chỉ có thể chứa các linh kiện: điện trở, cuộn dây thuần cảm và tụ điện ghép nối tiếp. Dùng một vôn kế nhiệt lí tưởng lần lượt mắc song song vào hai đầu đoạn mạch AB , AM và MB được số chỉ của vôn kế lần lượt là 300V , 200V và 100V . Khi đó hộp đen X có cấu tạo đơn giản nhất gồm
    Đề thi thử THPT Quốc gia môn Vật lý năm 2016 trường THPT Đa Phúc, Hà Nội (Lần 3)
  • Câu 26: Nhận biết

    Câu 26:

    Ở cùng một nơi trên trái đất. Con lắc đơn có chiều dài l1 thì chu kì dao động là T1 , con lắc đơn có chiều dài l2 thì chu kì dao động là T2 . Con lắc đơn có chiều dài 2l1 + 3l2 có chu kì dao động là
  • Câu 27: Nhận biết

    Câu 27:

    Công suất của dòng điện xoay chiều trên một đoạn mạch được tính bằng công thức nào dưới đây
  • Câu 28: Nhận biết

    Câu 28:

    Một sóng điện từ khi truyền từ không khí vào nước thì
  • Câu 29: Nhận biết

    Câu 29:

    Trên một sợi dây đàn hồi xuất hiện sóng dừng với nhiều bó sóng. Gọi d1 là khoảng cách gần nhất giữa hai nút sóng, d2 là khoảng cách gần nhất giữa hai vị trí cân bằng của hai điểm có biên độ bằng một nửa biên độ tại bụng. Biểu thức đúng là
  • Câu 30: Nhận biết

    Câu 30:

    Một chất điểm dao động điều hòa với chu kì T . Khoảng thời gian tối thiểu chất điểm chuyển động từ vị trí cân bằng đến vị trí biên là
  • Câu 31: Nhận biết

    Câu 31: Ta có thể giải thích hiện tượng cầu vồng xuất hiện trong tự nhiên dựa vào kiến thức về

  • Câu 32: Nhận biết

    Câu 32:

    Trong truyền tải điện năng đi xa ở Việt Nam, đường dây siêu cao áp có hiệu điện thế hiệu dụng cao nhất đang được sử dụng có giá trị là
  • Câu 33: Nhận biết

    Câu 33:

    Tia X (hay còn gọi là tia Rơnghen) có cùng bản chất với tia
  • Câu 34: Nhận biết

    Câu 34:

    Trong hiện tượng quang phát quang. Khi chiếu ánh sáng màu lam vào một vật, từ vật đó phát ra một bức xạ thuộc vùng ánh sáng nhìn thấy, bức xạ đó không thể có màu
  • Câu 35: Nhận biết

    Câu 35:

    Trong dao động điều hòa
  • Câu 36: Nhận biết

    Câu 36:

    Trong thí nghiệm giao thoa khe Y-âng, nguồn sáng S phát ra ánh sáng trắng có bước sóng nằm trong khoảng từ 0,38μm đến 0,76μm . Tại vị trí vân sáng bậc 6 của bức xạ λo = 0,64 m có bao nhiêu bức xạ khác cũng cho vân sáng tại đó?
  • Câu 37: Nhận biết

    Câu 37:

    Trung bình một phân hạch của hạt nhân nguyên tử U235 tỏa ra một năng lượng khoảng 185MeV . Một quả bom phân hạch mang 17kg nguyên liệu chứa U235 được làm giàu 90%, khi nổ tỏa ra một nhiệt lượng bằng bao nhiêu Kiloton? Biết rằng hiệu suất của bom phân hạch chỉ đạt 8,3% (có 8,3% lượng hạt nhân U235 tham gia vào vụ nổ), 1Kiloton = 4,1868.1012 J (lượng nhiệt tỏa ra khi đốt cháy hoàn toàn 1000 tấn thuốc nổ TNT). Coi khối lượng mol của U235 bằng số khối của nó.
  • Câu 38: Nhận biết

    Câu 38:

    Một chùm electron có vận tốc ban đầu bằng không, sau khi được tăng tốc bởi một hiệu điện thế có độ lớn bằng U chúng đập vào một tấm kim loại có nguyên tử khối lớn, từ tấm kim loại sinh ra tia X (tia Rơnghen) có bước sóng nhỏ nhất λmin thì
  • Câu 39: Nhận biết

    Câu 39:

    Biết năng lượng ứng với các trạng thái dừng của nguyên tử hiđrô được tính theo biểu thức En = - (Eo/n2)(với Eo là một số dương, n =1,2,3,... ). Khi nguyên tử hiđrô chuyển từ trạng thái kích thích thứ 5 về trạng thái cơ bản nó sinh ra photon có bước sóng λ1. Khi nguyên tử hiđrô chuyển từ lớp O về lớp L nó sinh ra photon có bước sóng λ2. Khi đó ta có
  • Câu 40: Nhận biết

    Câu 40:

    Giới hạn quang điện của niken là 248nm thì công thoát của niken bằng bao nhiêu? Cho h = 6,625.10-24 Js, c = 3.108 m/s, e = 1,6.10-19 C
  • Câu 41: Nhận biết

    Câu 41:

    Một lò xo có độ cứng K = 100 N/m, đầu trên được cố định, đầu dưới gắn vào vật nhỏ m1, vật m1 được nối với vật m2 bằng một sợi dây không giãn có chiều dài l = 20 cm. Khi hệ thống đang ở vị trí cân bằng, đốt sợi dây cho vật m2 rơi tự do và m1 dao động điều hòa. Khi vật m1 đổi chiều chuyển động lần thứ nhất thì khoảng cách giữa hai vật m1 và m2 bằng bao nhiêu? Biết rằng m1 = m2 = 1 kg. Lấy g = 10 m/s2
  • Câu 42: Nhận biết

    Câu 42:

    Phát biểu nào sau đây đúng khi nói về các hạt nhân đồng vị?
  • Câu 43: Nhận biết

    Câu 43:

    Mạch chọn sóng LC cộng hưởng với sóng điện từ có tần số
  • Câu 44: Nhận biết

    Câu 44:

    Hạt nhân 21084Po có khả năng phóng xạ α và biến đổi thành hạt nhân Pb bền vững. Ban đầu hạt nhân mẹ đứng yên. Mối liên hệ giữa động năng K, vận tốc v và khối lượng m của tia phóng xạ và hạt nhân con là
  • Câu 45: Nhận biết

    Câu 45:

    Để so sánh mức độ bền vững của các hạt nhân với nhau người ta so sánh năng lượng liên kết riêng giữa chúng. Hãy tính năng lượng liên kết riêng của hạt nhân Molipden 9542Mo. Biết mMo = 94,8800, mp = 1,0073, me = 1,0087 và luc2 =  931,5MeV.
  • Câu 46: Nhận biết

    Câu 46:

    Một mẫu poloni ( 21084Po ) có khả năng phóng xạ α và biến đổi thành hạt nhân chì bền vững với chu kì bán rã 138 ngày đêm. Ở thời điểm hiện tại, tỉ lệ số hạt nhân poloni và chì có trong mẫu vật là 1: 3 thì sau bao lâu tỉ lệ đó là 1:31?
  • Câu 47: Nhận biết

    Câu 47:

    Hạt α có động năng kα = 7,7 MeV đến đập vào hạt nhân 147N đứng yên và gây ra phản ứng hạt nhân: α + 147N → p + X. Biết hạt proton bắn ra theo phương vuông góc với vận tốc của hạt α  Xác định động năng của hạt nhân X? Biết rằng: mα = 4,0015u, m= 1,0073u, m= 13,9992u, mX = 16,9947u và luc2 = 931,5MeV.
  • Câu 48: Nhận biết

    Câu 48:

    Dòng điện i = Iocos(100πt + φ) (t tính bằng s) chuyển động trong cuộn cảm thuần có độ tự cảm L = (2/π) H. Cảm kháng của cuộn dây là
  • Câu 49: Nhận biết

    Câu 49:

    Một sóng cơ truyền dọc theo trục Ox với phương trình u = Acos(ω1t - ω2x). Trong đó A, ωvà ω2 là hằng số dương. Tốc độ truyền sóng v thỏa mãn
  • Câu 50: Nhận biết

    Câu 50:

    Trong mạch dao động LC lí tưởng. Khoảng thời gian năng lượng điện trường không nhỏ hơn năng lượng từ trường trong một chu kì dao động bằng

Chúc mừng Bạn đã hoàn thành bài!

Đề thi thử THPT Quốc gia môn Vật lý năm 2016 trường THPT Đa Phúc, Hà Nội (Lần 3) Kết quả
  • Thời gian làm bài: 00:00:00
  • Số câu đã làm: 0
  • Điểm tạm tính: 0
  • Điểm thưởng: 0

Đấu trường Đề thi thử THPT Quốc gia môn Vật lý năm 2016 trường THPT Đa Phúc, Hà Nội (Lần 3)

Đang tìm đối thủ...

Đang tải...

1
Xác thực tài khoản!

Theo Nghị định 147/2024/ND-CP, bạn cần xác thực tài khoản trước khi sử dụng tính năng này. Chúng tôi sẽ gửi mã xác thực qua SMS hoặc Zalo tới số điện thoại mà bạn nhập dưới đây:

Số điện thoại chưa đúng định dạng!
Số điện thoại này đã được xác thực!
Bạn có thể dùng Sđt này đăng nhập tại đây!
Lỗi gửi SMS, liên hệ Admin
Sắp xếp theo