Giao diện mới của VnDoc Pro: Dễ sử dụng hơn - chỉ tập trung vào lớp bạn quan tâm. Vui lòng chọn lớp mà bạn quan tâm: Lưu và trải nghiệm
Đóng
Điểm danh hàng ngày
  • Hôm nay +3
  • Ngày 2 +3
  • Ngày 3 +3
  • Ngày 4 +3
  • Ngày 5 +3
  • Ngày 6 +3
  • Ngày 7 +5
Bạn đã điểm danh Hôm nay và nhận 3 điểm!
Nhắn tin Zalo VNDOC để nhận tư vấn mua gói Thành viên hoặc tải tài liệu Hotline hỗ trợ: 0936 120 169

Đề thi thử THPT Quốc gia môn Vật Lý năm học 2015 - 2016 trường THPT Trần Hưng Đạo, Hưng Yên

Đóng
Bạn đã dùng hết 1 lần làm bài Trắc nghiệm miễn phí. Mời bạn mua tài khoản VnDoc PRO để tiếp tục! Tìm hiểu thêm
Mô tả thêm:

Đề thi đại học môn Vật Lý

Sau đây là Đề thi thử THPT Quốc gia môn Vật Lý năm học 2015 - 2016 trường THPT Trần Hưng Đạo, Hưng Yên. Đề thi này sẽ giúp các bạn ôn tập và củng cố kiến thức môn Vât Lý để chuẩn bị cho kỳ thi sắp tới. Chúc các bạn đạt điểm số cao!

Mời các bạn tham khảo thêm các đề thi THPT Quốc Gia khác:

Đề thi thử THPT Quốc gia năm 2016 môn Vật lý tỉnh Vĩnh Phúc (Lần 5) 

Đề thi thử THPT Quốc gia môn Vật lý năm 2016 trường THPT Đa Phúc, Hà Nội

Đề thi thử THPT Quốc gia môn Vật lý lần 1 năm 2016 trường THPT Ngô Sĩ Liên, Bắc Giang

  • Thời gian làm: 60 phút
  • Số câu hỏi: 1 câu
  • Số điểm tối đa: 10 điểm
Bắt đầu làm bài
Bạn còn 1 lượt làm bài tập miễn phí. Hãy mua tài khoản VnDoc PRO để học không giới hạn nhé! Bạn đã HẾT lượt làm bài tập miễn phí! Hãy mua tài khoản VnDoc PRO để làm Trắc nghiệm không giới hạn và tải tài liệu nhanh nhé!
Mua ngay Đổi điểm
Trước khi làm bài bạn hãy
  • 1 Ôn tập kiến thức đã nêu trong phần Mô tả thêm
  • 2 Tìm không gian và thiết bị phù hợp để tập trung làm bài
  • 3 Chuẩn bị sẵn dụng cụ cần dùng khi làm bài như bút, nháp, máy tính
  • 4 Căn chỉnh thời gian làm từng câu một cách hợp lý
  • Câu 1: Nhận biết
    Cho các hằng số:

    h = 6,625.10-34 (J.s); c = 3.108 (m/s); me = 9,1.10-31(kg); e = 1,6.10-19 (C); 

    NA=6,02.1023/mol; 1u=931,5 (MeV/c2, mp=1,0073 u, mn= 1,0087 u)

    Câu 1:

    Mắc hai đầu AB của mạch RLC nối tiếp có R = 50Ω, L = 1,5/ π (H), C = 10-4/ π (F) vào một nguồn điện xoay chiều ổn định thì thấy cường độ dòng điện trong mạch có biểu thức: i = 2√2 cos(100πt - π/6) (A). Nếu nối tắt hai đầu R thì biểu thức dòng điện trong mạch là:

    Câu 2:

    Trong thí nghiệm Y-âng về giao thoa ánh sáng với ánh sáng đơn sắc, khoảng cách giữa hai khe là 1 mm, khoảng cách từ hai khe tới màn là 2 m. Trên bề rộng 12,5 mm trên màn có 13 vân tối biết một đầu là vân tối, đầu còn lại là vân sáng. Bước sóng của ánh sáng đơn sắc đó bằng bao nhiêu?

    Câu 3: Theo mẫu nguyên tử Bo, trạng thái dừng của nguyên tử
    Câu 4: Tại cùng một nơi trên Trái Đất, con lắc đơn có chiều dài l dao động điều hòa với chu kì 2 s, con lắc đơn có chiều dài 2l dao động điều hòa với chu kì là
    Câu 5: Đặt một điện áp xoay chiều u = Uocost (V) vào hai đầu một đoạn mạch RLC không phân nhánh. Dòng điện nhanh pha hơn điện áp giữa hai đầu đoạn mạch khi:
    Câu 6: Con lắc lò xo, đầu trên cố định, đầu dưới gắn vật có khối lượng m dao động điều hòa theo phương thẳng đứng ở nơi có gia tốc trọng trường g. Khi vật ở vị trí cân bằng, độ giãn của lò xo là Δl, chiều dài lò xo là lcb. Chu kỳ dao động của con lắc được tính bằng công thức
    Câu 7: Điện áp và cường độ dòng điện trong đoạn mạch chỉ có cuộn dây thuần cảm có dạng và u = Uosin(ωt + α). Iosin(ωt + π/4). Ivà α có giá trị nào sau đây?
    Câu 8: Biểu thức li độ của vật dao động điều hòa có dạng x = Acos (ωt + φ), vận tốc của vật có giá trị cực đại là
    Câu 9: Tần số dao động điện từ riêng của mạch dao động LC xác định bởi biểu thức nào sau đây
    Câu 10: Trên một sợi dây có chiều dài, hai đầu cố định, đang có sóng dừng với một bụng sóng. Biết vận tốc truyền sóng trên dây là v không đổi. Tần số của sóng là
    Câu 11: Một lượng chất phóng xạ có số lượng hạt nhân ban đầu là No sau 2 chu kì bán rã, số lượng hạt nhân phóng xạ còn lại là
    Câu 12: Độ hụt khối của hạt nhân cô ban 6027Co là 4,544u. Khối lượng của hạt nhân coban gần với giá trị nào sau đây nhất:
    Câu 13: Hiện tượng quang dẫn là hiện tượng:
    Câu 14: Điều nào sau đây là đúng khi nói về phương dao động của các phần tử vật chất ở sóng ngang?
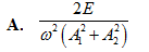
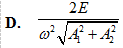
    Câu 15: Một vật nhỏ có chuyển động là tổng hợp của hai dao động điều hòa cùng phương. Hai dao động này có phương trình là x1 = A1cosωt và x2 = A2cos(ωt + π/2). Gọi E là cơ năng của vật. Khối lượng của vật bằng:
    Câu 16: Sắp xếp đúng thứ tự của các tia theo sự giảm dần của bước sóng trên thang sóng điện từ
    Câu 17: Đặc tính nào sau đây không phải là điểm chung của sóng điện từ và sóng cơ học
    Câu 18: Khoảng cách giữa hai điểm trên phương truyền sóng gần nhau nhất và dao động cùng pha với nhau gọi là
    Câu 19: Khi cường độ âm tăng 10 lần thì mức cường độ âm tăng 10dB hỏi nếu cường độ âm tăng 100 lần thì mức cường độ âm tăng bao nhiêu
    Câu 20: Dùng một máy đếm phóng xạ β- do phân rã C14 người ta thấy: Khi máy đếm ở một đĩa cổ bằng gỗ thì đếm được 2834 phân rã/phút, khi máy đếm ở khúc gỗ vừa mới chặt cùng khối lượng thì được 4000 phân rã/phút. Biết chu kì bán rã của các bon C14 là 5730 năm, tuổi của đĩa cổ này gần đúng là:
    Câu 21: Một đường tải điện ba pha có 4 dây a, b, c, d. Một bóng đèn khi mắc vào giữa hai dây a và b hoặc giữa hai dây b và c hoặc giữa hai dây b và d thì sáng bình thường. Nếu dùng bóng đèn đó mắc vào giữa hai dây a và c thì
    Câu 22: Quang phổ liên tục của một vật
    Câu 23: Một con lắc lò xo có vật nặng khối lượng m = 1kg dao động điều hòa trên phương ngang. Khi vật có vận tốc v = 10cm/s thì thế năng bằng ba lần động năng. Năng lượng dao động của vật là
    Câu 24: Một cuộn dây có điện trở thuần RL = 40 được mắc vào điện áp xoay chiều có giá trị hiệu dụng U = 120V thì dòng điện chạy qua cuộn dây có giá trị hiệu dụng là 2,4 A. Cảm kháng ZL của cuộn dây có giá trị nào sau đây
    Câu 25: Khi nói về độ bền vững của hạt nhân thì điều nào sau đây là đúng
    Câu 26: Phát biểu nào sau đây về ánh sáng đơn sắc và ánh sáng trắng là sai?
    Câu 27: Khi hiện tượng quang dẫn xảy ra, hạt tham gia vào quá trình dẫn điện ở bán dẫn khi đó là:
    Câu 28: Đoạn mạch xoay chiều RLC nối tiếp có Đề thi thử THPT Quốc gia môn Vật Lý năm học 2015 - 2016 trường THPT Trần Hưng Đạo, Hưng Yên. Dòng điện trong mạch:
    Câu 29: Vật dao động điều hòa với chu kì T. Tốc độ trung bình trong khoảng thời gian ngắn nhất khi đi từ vị trí biên có li độ x = A đến vị trí x = - A/2, là
    Câu 30: Trong mạch dao động LC khi có dao động điện từ duy trì nhận định nào sau đây là sai

Chúc mừng Bạn đã hoàn thành bài!

Đề thi thử THPT Quốc gia môn Vật Lý năm học 2015 - 2016 trường THPT Trần Hưng Đạo, Hưng Yên Kết quả
  • Thời gian làm bài: 00:00:00
  • Số câu đã làm: 0
  • Điểm tạm tính: 0
  • Điểm thưởng: 0

Đấu trường Đề thi thử THPT Quốc gia môn Vật Lý năm học 2015 - 2016 trường THPT Trần Hưng Đạo, Hưng Yên

Đang tìm đối thủ...

Đang tải...

2
Xác thực tài khoản!

Theo Nghị định 147/2024/ND-CP, bạn cần xác thực tài khoản trước khi sử dụng tính năng này. Chúng tôi sẽ gửi mã xác thực qua SMS hoặc Zalo tới số điện thoại mà bạn nhập dưới đây:

Số điện thoại chưa đúng định dạng!
Số điện thoại này đã được xác thực!
Bạn có thể dùng Sđt này đăng nhập tại đây!
Lỗi gửi SMS, liên hệ Admin
Sắp xếp theo