Giao diện mới của VnDoc Pro: Dễ sử dụng hơn - chỉ tập trung vào lớp bạn quan tâm. Vui lòng chọn lớp mà bạn quan tâm: Lưu và trải nghiệm
Đóng
Điểm danh hàng ngày
  • Hôm nay +3
  • Ngày 2 +3
  • Ngày 3 +3
  • Ngày 4 +3
  • Ngày 5 +3
  • Ngày 6 +3
  • Ngày 7 +5
Bạn đã điểm danh Hôm nay và nhận 3 điểm!
Nhắn tin Zalo VNDOC để nhận tư vấn mua gói Thành viên hoặc tải tài liệu Hotline hỗ trợ: 0936 120 169

Đề thi thử THPT Quốc gia năm 2016 môn Vật lý tỉnh Quảng Nam

Đóng
Bạn đã dùng hết 1 lần làm bài Trắc nghiệm miễn phí. Mời bạn mua tài khoản VnDoc PRO để tiếp tục! Tìm hiểu thêm
Mô tả thêm:

Đề thi thử đại học môn Lý có đáp án

Đề thi thử THPT Quốc gia năm 2016 môn Vật lý tỉnh Quảng Nam gồm 50 câu hỏi trắc nghiệm từ cơ bản đến nâng cao sẽ là tài liệu ôn thi Vật lý hay cho các sĩ tử. Sau khi nộp bài, các bạn sẽ được đối chiếu với đáp án. Chúc các bạn làm bài đạt kết quả cao!

Mời bạn tham khảo: Đề thi thử THPT Quốc gia năm 2016 môn Vật lý trường THPT Đa Phúc, Hà Nội (Lần 2)

  • Thời gian làm: 90 phút
  • Số câu hỏi: 50 câu
  • Số điểm tối đa: 50 điểm
Bắt đầu làm bài
Bạn còn 1 lượt làm bài tập miễn phí. Hãy mua tài khoản VnDoc PRO để học không giới hạn nhé! Bạn đã HẾT lượt làm bài tập miễn phí! Hãy mua tài khoản VnDoc PRO để làm Trắc nghiệm không giới hạn và tải tài liệu nhanh nhé!
Mua ngay Đổi điểm
Trước khi làm bài bạn hãy
  • 1 Ôn tập kiến thức đã nêu trong phần Mô tả thêm
  • 2 Tìm không gian và thiết bị phù hợp để tập trung làm bài
  • 3 Chuẩn bị sẵn dụng cụ cần dùng khi làm bài như bút, nháp, máy tính
  • 4 Căn chỉnh thời gian làm từng câu một cách hợp lý
  • Câu 1: Nhận biết

    Câu 1:

    Trong mạch điện xoay chiều chỉ có tụ điện thì điện tích trên một bản tụ sẽ:

  • Câu 2: Nhận biết

    Câu 2:

    Nguyên tắc hoạt động của quang điện trở dựa vào:

  • Câu 3: Nhận biết

    Câu 3:

    Hạt nhân 146C phóng xạ β-. Hạt nhân con sinh ra có:

  • Câu 4: Nhận biết

    Câu 4:

    Một máy biến thế lý tưởng có số vòng dây cuộn sơ cấp là N1 = 4400 vòng. Khi nối vào mạng điện xoay chiều có điện áp hiệu dụng U1 = 220(V) thì điện áp hiệu dụng ở hai đầu cuộn thứ cấp để hở là 6(V). Số vòng dây cuộn thứ cấp là:

  • Câu 5: Nhận biết

    Câu 5:

    Tạo ra dòng điện xoay chiều bằng máy phát điện xoay chiều dựa trên cơ sở hiện tượng:

  • Câu 6: Nhận biết

    Câu 6:

    Bộ phận có tác dụng phân tích chùm ánh sáng phức tạp thành những thành phần đơn sắc trong máy quang phổ lăng kính là gì?

  • Câu 7: Nhận biết

    Câu 7:

    Phần cảm của một máy phát điện xoay chiều một pha có 10 cặp cực. Máy phát ra dòng điện xoay chiều có tần số 50Hz. Rô to quay với tốc độ:

  • Câu 8: Nhận biết

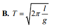
    Câu 8:

    Chu kỳ dao động điều hòa của con lắc đơn có chiều dài l, tại nơi có gia tốc trọng trường g là:
  • Câu 9: Nhận biết

    Câu 9:

    Trong sơ đồ khối của một máy thu thanh dùng sóng vô tuyến không có bộ phận nào dưới đây?

  • Câu 10: Nhận biết

    Câu 10:

    Trên một sợi dây hai đầu cố định có sóng dừng. Chiều dài dây bằng

  • Câu 11: Nhận biết

    Câu 11:

    Suất điện động do máy phát điện xoay chiều một pha phát ra e = 220cos(100πt)(V). Suất điện động hiệu dụng là:

  • Câu 12: Nhận biết

    Câu 12:

    Một chất điểm chuyển động tròn đều với tốc độ 5 vòng / giây. Hình chiếu của chất điểm lên đường kính quỹ đạo chuyển động dao động điều hòa với chu kỳ là:

  • Câu 13: Nhận biết

    Câu 13:

    Khi nói về dao động cưỡng bức, phát biểu nào sau đây đúng?

  • Câu 14: Nhận biết

    Câu 14:

    Hiện tượng nào sau đây khẳng định ánh sáng có tính chất sóng?

  • Câu 15: Nhận biết

    Câu 15:

    Sóng điện từ:

  • Câu 16: Nhận biết

    Câu 16:

    Theo chiều tăng dần của bước sóng các loại sóng điện từ thì ta có sự sắp xếp sau
  • Câu 17: Nhận biết

    Câu 17:

    Một dây đàn violon hai đầu cố định, dao động, phát ra âm cơ bản ứng với nốt nhạc La có tần số 440Hz.Tốc độ sóng trên dây là 250m/s. Hỏi chiều dài của dây gần nhất với giá trị nào?
  • Câu 18: Nhận biết

    Câu 18:

    Theo thuyết lượng tử ánh sáng, phát biểu nào sau đây là sai?
  • Câu 19: Nhận biết

    Câu 19:

    Một đoạn mạch điện xoay chiều gồm điện trở thuần R = 100Ω nối tiếp với tụ điện có dung kháng ZC = 100Ω. Tổng trở mạch:
  • Câu 20: Nhận biết

    Câu 20:

    Chọn câu sai khi nói về các đặc trưng sinh lý của âm.
  • Câu 21: Nhận biết

    Câu 21:

    Một vật dao động điều hòa có chu kì là T. Nếu chọn gốc thời gian t = 0 lúc vật qua vị trí cân bằng thì trong nửa chu kì đầu tiên, vận tốc của vật bằng không ở thời điểm
  • Câu 22: Nhận biết

    Câu 22:

    Khi một chùm sáng đơn sắc truyền từ không khí vào thủy tinh thì
  • Câu 23: Nhận biết

    Câu 23:

    Một chất phóng xạ có chu kỳ bán rã T=4 ngày, sau 8 ngày số nguyên tử chất phóng xạ còn lại bao nhiêu phần trăm?
  • Câu 24: Nhận biết

    Câu 24:

    Một kim loại có công thoát êlectron là 7,2.10 –19 J. Chiếu lần lượt vào kim loại này các bức xạ có bước sóng λ1 = 0,18 μm, λ2 = 0,21 μm, λ3 = 0,32 μm và λ4= 0,35 μm. Những bức xạ có thể gây ra hiện tượng quang điện ở kim loại này có bước sóng là
  • Câu 25: Nhận biết

    Câu 25:

    Phát biểu nào dưới đây về dao động tắt dần là sai:
  • Câu 26: Nhận biết

    Câu 26:

    Một nguồn phát sóng cơ dao động theo phương trình u = 4cos(4πt - π/4) (cm). Biết dao động tại hai điểm gần nhau nhất trên cùng một phương truyền sóng cách nhau 0,5 m có độ lệch pha là π/3. Tốc độ truyền của sóng đó là
  • Câu 27: Nhận biết

    Câu 27:

    Một mạch dao động điện từ LC lí tưởng đang thực hiện dao động điện từ tự do. Điện tích cực đại trên một bản tụ là 2.10-6 C, cường độ dòng điện cực đại trong mạch là 0,1π (A). Chu kì dao động điện từ tự do trong mạch bằng
  • Câu 28: Nhận biết

    Câu 28:

    Kết quả thực nghiệm được cho trên hình vẽ biểu diễn sự phụ thuộc của bình phương chu kỳ dao động T2 của con lắc đơn theo chiều dài l của nó. Kết luận nào sau đây là không chính xác.
    Đề thi thử THPT Quốc gia năm 2016 môn Vật lý tỉnh Quảng Nam
  • Câu 29: Nhận biết

    Câu 29:

    Cho biết hạt nhân đơ tê ri 12D có khối lượng mD=2,0136u. Cho khối lượng của proton, notron lần lượt là mp=1,007276u, mn=1,008665u. Độ hụt khối của đơ tê ri là
  • Câu 30: Nhận biết

    Câu 30:

    Một mạch dao động điện từ lí tưởng đang có dao động điện từ tự do. Tại thời điểm t = 0, điện tích trên một bản tụ điện cực đại. Sau khoảng thời gian ngắn nhất Δt thì điện tích trên bản tụ này bằng một nửa giá trị cực đại. Chu kì dao động riêng của mạch dao động này là
  • Câu 31: Nhận biết

    Câu 31:

    Trong thí nghiệm đối với khe Y-âng, nếu dùng ánh sáng tím có bước sóng 0,4 μm thì khoảng vân đo được là 0,2mm. Hỏi nếu dùng ánh sáng có bước sóng 0,6 μm thì khoảng vân đo được là bao nhiêu?
  • Câu 32: Nhận biết

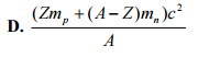
    Câu 32:

    Ký hiệu khối lượng pro tôn là mp, khối lượng nơ trôn là mn. Một hạt nhân AZX có khối lượng m thì có năng lượng liên kết riêng là
  • Câu 33: Nhận biết

    Câu 33:

    Một mạch điện xoay chiều chỉ có cuộn thuần cảm có độ tự cảm L = 1/π (H). Đặt vào hai đầu cuộn thuần cảm một điện áp xoay chiều u = 100√2cos(100πt) (V)). Biểu thức cường độ dòng điện đi qua cuộn thuần cảm là:
  • Câu 34: Nhận biết

    Câu 34:

    Trên hình vẽ bên là đồ thị sự phụ thuộc của vận tốc theo ly độ của một chất điểm dao động điều hòa trên trục Ox. Vận tốc cực đại của dao động gần nhất với giá trị nào sau đây?
    Đề thi thử THPT Quốc gia năm 2016 môn Vật lý tỉnh Quảng Nam
  • Câu 35: Nhận biết

    Câu 35:

    U238 phân rã và biến thành chì Pb206 với chu kỳ bán rã T = 4,47.109năm. Một khối đá được phát hiện có chứa 1,19mg U238 và 2,06mg Pb206. Giả sử khối đá lúc đầu không chứa nguyên tố chì và tất cả lượng chì có mặt đều là sản phẩm phân rã của U238. Tuổi của khối đá trên gần nhất với giá trị nào dưới đây?
  • Câu 36: Nhận biết

    Câu 36:

    Mạch điện nối tiếp gồm cuộn dây có điện trở thuần r và độ tự cảm L, mắc nối tiếp với điện trở thuần R và tụ điện có điện dung C. Biết rằng R = r và L = Cr2. Khi tần số dòng xoay chiều là f thì điện áp hai đầu mạch trễ pha so với điện áp hai đầu cuộn dây một góc π/6. Hệ số công suất của mạch điện là
  • Câu 37: Nhận biết

    Câu 37:

    Một nguồn âm tại O xem như nguồn điểm cho mức cường độ âm tại A là LA = 30dB, mức cường độ âm tại B là LB = 40dB. Biết OA và OB vuông góc với nhau. Bỏ qua sự hấp thụ âm của môi trường. Nếu đặt tại O thêm 9 nguồn âm giống như nguồn âm trên thì mức cường độ âm tại trung điểm của đoạn AB gần nhất với giá trị nào?
  • Câu 38: Nhận biết

    Câu 38:

    Theo mẫu nguyên tử Bo, trong nguyên tử hiđrô, chuyển động của êlectron quanh hạt nhân là chuyển động tròn đều. Tỉ số giữa tốc độ của êlectron trên quỹ đạo L và tốc độ của êlectron trên quỹ đạo N bằng
  • Câu 39: Nhận biết

    Câu 39:

    Điện năng được truyền đi trên đường dây một pha từ nhà máy đến tải tiêu thụ. Khi điện áp hiệu dụng đầu đường dây là U1 = 200V thì hiệu suất là 90%. Để hiệu suất là 96% thì điện áp hiệu dụng hai đầu đường dây là bao nhiêu? Biết rằng trong các trường hợp hệ số công suất mạch điện luôn bằng 1, và công suất tải tiêu thụ trong hai trường hợp nói trên là như nhau.
  • Câu 40: Nhận biết

    Câu 40:

    Hai điểm sáng dao động điều hòa trên trục tọa độ Ox với các phương trình lần lượt là Đề thi thử THPT Quốc gia năm 2016 môn Vật lý tỉnh Quảng Nam Thời điểm đầu tiên hai điểm sáng ở xa nhau nhất và khoảng cách xa nhất là
  • Câu 41: Nhận biết

    Câu 41:

    Một chùm tia sáng song song gồm hai thành phần đơn sắc mà chiết suất thủy tinh đối với chúng lần lượt là n1 = √2 ; n2 = √3, chiếu từ chân không vào một tấm thủy tinh có bề dày d = 10mm, có góc tới i = 60o. Để cho 2 chùm tia ló màu khác nhau, sau tấm thủy tinh tách rời nhau thì bề rộng chùm tia tới không được lớn hơn một giá trị x. Giá trị x gần nhất với giá trị nào dưới đây? 
  • Câu 42: Nhận biết

    Câu 42:

    Một hạt có động năng bằng năng lượng nghỉ của nó. Tính tốc độ của hạt.
  • Câu 43: Nhận biết

    Câu 43:

    Thực hiện giao thoa với khe I âng. Ánh sáng dùng trong thí nghiệm là ánh sáng hỗn hợp của hai bức xạ đơn sắc trong vùng nhìn thấy có bước sóng λ1 = 0,540 m và bức xạ  λ2 >  λ1. Biết rằng trong khoảng giữa hai vân sáng kế tiếp có màu giống màu vân sáng trung tâm có 9 vân sáng của hai bức xạ đơn sắc trên. Tìm λ2.
  • Câu 44: Nhận biết

    Câu 44:

    Theo mẫu nguyên tử Bo, năng lượng ứng với các trạng thái dừng của nguyên tử hiđrô được tính theo biểu thức Đề thi thử THPT Quốc gia năm 2016 môn Vật lý tỉnh Quảng Nam
    Giả sử có một đám nguyên tử hiđrô đang ở trạng thái cơ bản thì được chiếu bằng chùm bức xạ mà các phôtôn có năng lượng tương ứng là 3,4 eV; 11,51 eV; 12,75 eV và 12,85 eV. Phôtôn bị đám nguyên tử trên hấp thụ có năng lượng bằng
  • Câu 45: Nhận biết

    Câu 45:

    Cho mạch điện RLC mắc nối tiếp, cuộn dây thuần cảm. Đặt vào hai đầu đoạn mạch điện áp xoay chiều u = U√2cos 2πft, trong đóng U có giá trị không đổi, f có thể thay đổi được. Khi f = f1 thì điện áp hiệu dụng trên tụ có giá trị bằng U, mạch tiêu thụ công suất bằng 3/4 công suất cực đại. Khi tần số của dòng điện là f2 = f1 + 50Hz thì điện áp hiệu dụng trên cuộn cảm có giá trị bằng U. Tần số dòng điện khi xảy ra cộng hưởng là gần nhất với giá trị nào dưới đây?
  • Câu 46: Nhận biết

    Câu 46:

    Một con lắc lò xo thẳng đứng gồm một hòn bi gắn vào một đầu lò xo nhẹ, đầu kia của lò xo giữ cố định. Khi cân bằng lò xo giãn 4cm. Kích thích cho vật dao động điều hoà và thấy rằng trong một chu kỳ thời gian mà gia tốc của hòn bi ngược chiều với lực đàn hồi mà lò xo tác dụng vào nó bằng 1/6 chu kỳ. Lấy g = 9,8m/s2. Vận tốc cực đại của dao động điều hòa của hòn bi gần nhất với giá trị nào?
  • Câu 47: Nhận biết

    Câu 47:

    Một vật có khối lượng m = 1kg treo vào lò xo có độ cứng 100N/m, một đầu lò xo được giữ cố định. Ban đầu vật được đặt ở vị trí lò xo không biến dạng và đặt lên một miếng ván nằm ngang như hình vẽ. Sau đó người ta cho miếng ván chuyển động nhanh dần đều thẳng đứng xuống dưới với gia tốc a = 2m/s2. Lấy g = 10m/s2. Sau khi rời tấm ván vật vật dao động điều hòa với vận tốc cực đại là 
    Đề thi thử THPT Quốc gia năm 2016 môn Vật lý tỉnh Quảng Nam
  • Câu 48: Nhận biết

    Câu 48:

    Một ăng ten rada đang quay đều với tốc độ góc π (rad/s); một máy bay đang bay về phía nó. Tại thời điểm lúc ăngten đang hướng về phía máy bay, ăng ten phát sóng điện từ và nhận sóng phản xạ trở lại mất 150µs, sau khi quay 1vòng lại phát sóng điện từ về phía máy bay, thời gian từ lúc phát đến lúc nhận lần này là 146 µs. Tốc độ trung bình của máy bay gần nhất với giá trị nào dưới đây? 
  • Câu 49: Nhận biết

    Câu 49:

    Hai nguồn S1 và S2 cùng tần số f=10Hz, cùng pha gây ra hiện tượng giao thoa sóng trên mặt nước. Giả sử biên độ sóng không đổi khi truyền đi, tốc độ truyền sóng v=50cm/s. Xét hai điểm M và N trên cùng một đường elip nhận S1 và S2 là tiêu điểm. Điểm M có S1M-S2M=1,25cm, điểm N có S1N-S2N=5cm. Vào một thời điểm nào đó điểm M có vận tốc dao động vM =4cm/s, thì điểm N có vận tốc là bao nhiêu?
  • Câu 50: Nhận biết

    Câu 50:

    Đặt một điện áp xoay chiều u=Uocosωt vào hai đầu một đoạn mạch gồm điện trở thuần R ghép nối tiếp với một cuộn thuần cảm độ tự cảm L và tụ điện điện dung C như hình vẽ. Khi K đóng biểu thức của cường độ dòng điện qua mạch là i1=I√2cos(ωt-φ1). Khi K mở thì biểu thức cường độ dòng điện qua mạch là i2=I√2cos(ωt-φ2). Biết rằng φ2 - φ1 = π/3. Giữ khóa K ở trạng thái mở, thay đổi tần số góc đến giá trị ωch trong mạch điện xảy ra cộng hưởng. Bỏ qua điện trở của dây nối và khóa K. Hệ thức liên hệ giữa ω và ωch là
    Đề thi thử THPT Quốc gia năm 2016 môn Vật lý tỉnh Quảng Nam

Chúc mừng Bạn đã hoàn thành bài!

Đề thi thử THPT Quốc gia năm 2016 môn Vật lý tỉnh Quảng Nam Kết quả
  • Thời gian làm bài: 00:00:00
  • Số câu đã làm: 0
  • Điểm tạm tính: 0
  • Điểm thưởng: 0

Đấu trường Đề thi thử THPT Quốc gia năm 2016 môn Vật lý tỉnh Quảng Nam

Đang tìm đối thủ...

Đang tải...

1
Xác thực tài khoản!

Theo Nghị định 147/2024/ND-CP, bạn cần xác thực tài khoản trước khi sử dụng tính năng này. Chúng tôi sẽ gửi mã xác thực qua SMS hoặc Zalo tới số điện thoại mà bạn nhập dưới đây:

Số điện thoại chưa đúng định dạng!
Số điện thoại này đã được xác thực!
Bạn có thể dùng Sđt này đăng nhập tại đây!
Lỗi gửi SMS, liên hệ Admin
Sắp xếp theo