Câu 1:
Trên mARN axitamin Xêrin được mã hóa bởi bộ ba UXA. Vậy tARN mang axitamin này có bộ ba đối mã là
VnDoc xin giới thiệu tới các bạn học sinh bài ôn thi với Đề thi thử THPT Quốc gia năm 2017 môn Sinh học trường THPT Lý Thái Tổ, Bắc Ninh - Đề 1 sau đây để tổng hợp và kiểm tra kiến thức môn Ngữ văn hiệu quả. Chúc các bạn có một kỳ thi đạt thành tích cao nhất.
Đề thi thử THPT Quốc gia năm 2017 môn Hóa học trường THPT Yên Lạc, Vĩnh Phúc (Lần 3) - Đề 1
Điểm khả dụng: 0 điểm
Bạn sẽ dùng 50 điểm để đổi lấy 1 lượt làm bài.
Bạn không đủ điểm để đổi.
Câu 1:
Trên mARN axitamin Xêrin được mã hóa bởi bộ ba UXA. Vậy tARN mang axitamin này có bộ ba đối mã là
Câu 2:
Câu nào dưới đây nói về hoạt động của enzim ADN pôlimezara trong quá trình nhân đôi là đúng?
Câu 3:
Đặc điểm nào sau đây là đúng khi nói về tính đặc hiệu của mã di truyền?
Câu 4:
Cải dạng Raphanus (2n = 18R) lai với cải bắp Brassica (2n = 18B) thì có khả năng sinh ra cây lai bất thụ có bộ NST là:
Câu 5:
Ở một loài thực vật, khi cho cây (P) tự thụ phấn, ở F1 thu được tỉ lệ kiểu hình: 46,6875% hoa đỏ, thân cao. 9,5625% hoa đỏ, thân thấp. 28,3125% hoa trắng, thân cao. 15,4375% hoa trắng, thân thấp. Biết rằng tính trạng chiều cao cây do một gen có hai alen qui định. Điều nào sau đây không đúng?
Câu 6:
Tại sao trong di truyền qua tế bào chất tính trạng luôn luôn được di truyền theo dòng mẹ và cho kết quả khác nhau trong lai thụân nghịch?
Câu 7:
Để tạo ra động vật chuyển gen, người ta đã tiến hành
Câu 8:
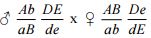
Cho phép lai ![]()
Biết các gen đều nằm trên NST thường; A và B cách nhau 20cM và xảy ra hoán vị cả 2 bên bố, mẹ; D và E cách nhau 40cM và chỉ xảy ra hoán vị ở bên mẹ, bên bố không hoán vị.
1. Số kiểu gen của F1 là 100
2. Kiểu gen
ở F chiếm tỉ lệ : 1.6%
3. Kiểu hình gồm tất cả các tính trạng trội ở F1 chiếm tỉ lệ: 30,4%
4. Kiểu hình chỉ mang một trong 4 tính trạng lặn ở F1 chiếm tỉ lệ: 41,4% Số đáp án đúng:
Câu 9:
Vai trò của vùng khởi động trong cấu trúc Operon Lac là
Câu 10:
Ở người, bệnh điếc bẩm sinh do gen lặn nằm trên nhiễm sắc thể thường quy định, bệnh mù màu do gen lặn nằm trên vùng không tương đồng của nhiễm sắc thể giới tính X. Một cặp vợ chồng, có anh vợ bị mù màu, em vợ bị điếc bẩm sinh; mẹ chồng bị điếc bẩm sinh, những người khác trong gia đình không ai bị một trong hai hoặc bị cả hai bệnh này. Xác suất để đứa con trai đầu lòng của cặp vợ chồng này không bị đồng thời cả hai bệnh nói trên là
Câu 11:
Khi nói về mức phản ứng, nội dung nào dưới đây là không đúng:
Câu 12:
Đột biến nào sau đây khác với các loại đột biến còn lại về mặt phân loại?
Câu 13:
Ở cừu, tính trạng có sừng do một gen có hai alen quy định (alen B: có sừng, alen b: không sừng), nhưng kiểu gen Bb có sừng ở cừu đực và không sừng ở cừu cái. Trong một quần thể cân bằng di truyền có thành phần kiểu gen ở cừu đực và cừu cái đều là 0,01 BB : 0,18 Bb : 0,81 bb; quần thể này có 1.000 con cừu với tỉ lệ đực, cái như nhau. Có mấy phát biểu sau đây đúng?
(1) Số cá thể không sừng là 500 con.
(2) Số cá thể có sừng ở cừu đực là 90 con.
(3) Tỉ lệ cá thể cừu đực dị hợp trong số cá thể có sừng của cả quần thể chiếm 90%.
(4) Số cá thể cừu đực không sừng là 5 con; số cá thể cừu cái có sừng là 405 con.
Câu 14:
3 tế bào sinh tinh ở ruồi giấm có kiểu gen
giảm phân không phát sinh đột biến,không có hoán vị gen đã tạo ra 4 loại tinh trùng. Theo lí thuyết, tỉ lệ 4 loại tinh trùng
Câu 15:
Nghiên cứu sự di truyền của bệnh P, Q bằng phương pháp phả hệ, đã có được sơ đồ sau:

Xác suất để cặp vợ chồng ở thế hệ thứ III (12, 13) trong sơ đồ phả hệ trên sinh con không mắc cả hai bệnh (P và Q) là bao nhiêu?
Câu 16:
Loại đột biến nhiễm sắc thể nào sau đây làm thay đổi số lượng gen trên một nhiễm sắc thể?
Câu 17:
Gen B có 900 nuclêôtit loại ađênin (A) và 600 nuclêôtit loại guanin (G). Gen B bị đột biến dạng thay thế một cặp A– T bằng một cặp G– X trở thành alen b. Tổng số liên kết hiđrô của alen b là
Câu 18:
Đem tự thụ phấn giữa F1 dị hợp ba cặp gen, kiểu hình ngô hạt đỏ, quả dài với nhau, thu được kết quả F2 như sau: 11478 cây ngô hạt đỏ, quả dài; 1219 cây ngô hạt vàng, quả ngắn; 1216 cây ngô hạt trắng, quả dài; 3823 cây ngô hạt đỏ, quả ngắn; 2601 cây ngô hạt vàng, quả dài; 51 cây ngô hạt trắng, quả ngắn. A-B-, A-bb: hạt đỏ; aaB-: hạt vàng; aabb: hạt trắng. D: quả dài; d: quả ngắn
1. Ba cặp gen quy định 2 tính trạng ,tương tác gen liên kết không hoàn toàn
2. Kiểu gen của F1:
(hạt đỏ, quả dài) x
(hạt đỏ, quả dài)
3. Kiểu gen của F1 ![]()
4. Tần số hoán vị gen là: 20%
Số đáp án đúng:
Câu 19:
Khi nói về đột biến gen, có bao nhiêu phát biểu sau đây đúng?
(1) Nuclêôtit khi ở dạng hiếm có thể dẫn đến kết cặp sai trong quá trình nhân đôi ADN, gây đột biến thay thế một cặp nuclêôtit
(2) Đột biến gen tạo ra các alen mới làm phong phú vốn gen của quần thể.
(3) Đột biến điểm là dạng đột biến gen liên quan đến một số cặp nuclêôtit.
(4) Đột biến gen tạo ra nguồn nguyên liệu sơ cấp chủ yếu cho tiến hóa.
(5) Mức độ gây hại của alen đột biến phụ thuộc vào tổ hợp gen và điều kiện môi trường.
(6) Hóa chất 5 - Brôm Uraxin chủ yếu gây đột biến thay thế một cặp G-X thành một cặp A-T.
Câu 20:
Ở một loài động vật, cho con đực lông xám giao phối với con cái lông vàng được F1 toàn lông xám, tiếp tục cho F1 giao phối với nhau được F2 có kiểu hình phân li theo tỉ lệ:
Giới đực: 6 lông xám: 2 lông vàng; Giới cái: 3 lông xám: 5 lông vàng.
Cho rằng không xảy ra đột biến và sự biểu hiện tính trạng không chịu ảnh hưởng của môi trường.Nếu cho các con lông xám F2 giao phối với nhau, xác suất để F3 xuất hiện một con mang toàn gen lặn là bao nhiêu %?
Đang tải...
Theo Nghị định 147/2024/ND-CP, bạn cần xác thực tài khoản trước khi sử dụng tính năng này. Chúng tôi sẽ gửi mã xác thực qua SMS hoặc Zalo tới số điện thoại mà bạn nhập dưới đây: