78 đề thi toán vào các trường đại học, cao đẳng (hệ phương trình, hệ bất phương trình)
Nhằm giúp các bạn học sinh lớp 12 ôn tập tốt môn toán để thi vào các trường đại học, cao đẳng, VnDoc.com xin giới thiệu tới các bạn bộ tài liệu 78 đề thi toán vào các trường đại học, cao đẳng (hệ phương trình, hệ bất phương trình). Bộ tài liệu này bao gồm 5 phần với đề thi vào các trường đại học, cao đẳng những năm trước. Các bạn có thể tải về tham khảo thêm.
ĐỀ THI ĐẠI HỌC MÔN TOÁN - HỆ PHƯƠNG TRÌNH, HỆ BẤT PHƯƠNG TRÌNH
78 ĐỀ THI TOÁN VÀO CÁC TRƯỜNG ĐẠI HỌC, CAO ĐẲNG
(HỆ PHƯƠNG TRÌNH, HỆ BẤT PHƯƠNG TRÌNH)
* Phi lộ:
Việc giải một bài toán đã được phân loại bên phần lý thuyết vừa học đem đến cho học sinh nhiều thuận lợi. Học sinh biết được phải dùng nội dung lý thuyết nào, cách giải ra sao.
Giải một đề thi được sắp xếp theo kiểu “đao kiếm vô tình”, học sinh không có được thuận lợi ấy.
Học sinh phải phân tích, tìm tòi nội dung lý thuyết phù hợp, có thể phải dùng nhiều phần lý thuyết tổng hợp lại, gỡ rối, tìm hướng đi.
Điểm không thuận lợi ấy lại là điểm mạnh của việc luyện giải đề thi, học sinh được rèn luyện tư duy, sẽ quen cách xử lý các tình huống bất thường khi phải thi thật sự.
Tài liệu này chỉ thật sự có ích cho các học sinh ở trường chăm chú nghe thầy cô giảng bài, nắm chắc nội dung cơ bản của môn toán nói chung, phần hệ phương trình, bất phương trình nói riêng.
* Nội dung tài liệu :
I/ Đề thi vào các trường đại học, cao đẳng năm học 2001-2002 (các trường tự ra đề).
II/ Đề thi chính thức vào đại học, cao đẳng từ năm học 2002-2003 đến năm học 2007-2008 (đề chung của Bộ).
III/ Đề thi dự bị vào đại học, cao đẳng từ năm học 2002-2003 đến năm học 2007-2008 (đề chung của Bộ).
IV/ Đáp số.
V/ Phương pháp giải.
* Các ký hiệu được dùng trong tài liệu:
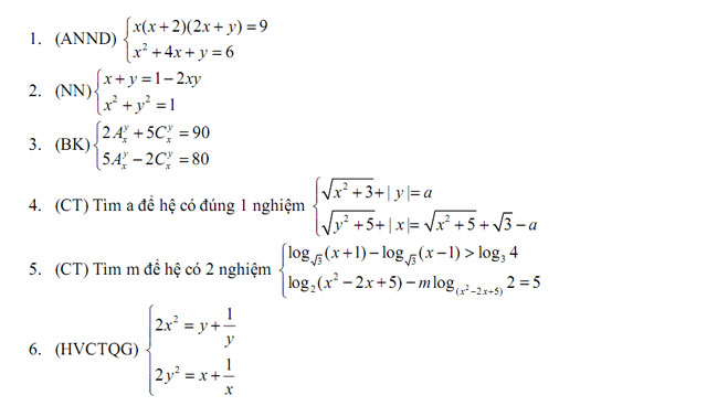
(ANND) = Đề thi đại học An ninh nhân dân năm học 2001-2002 .
(A.08) = Đề thi chính thức khối A năm học 2007-2008.
(A1.07) = Đề thi dự bị số 1, khối A năm học 2006-2007.
I/ĐỀ THI NĂM HỌC 2001-2002
