Bộ đề thi học kì 2 môn Toán lớp 12 trường THPT Quỳnh Lưu 1, Nghệ An năm học 2016 - 2017
Bộ đề thi học kì 2 môn Toán lớp 12
Kì thi học kì 2 đang đến rất gần, đây chính là thời điểm quan trong để các bạn học sinh tập trung vào liệu ôn tập củng cố lại kiến thức và nâng cao kỹ năng giải đề thi. Chính vì vậy VnDoc đã sưu tầm và xin giới thiệu tới các bạn: Bộ đề thi học kì 2 môn Toán lớp 12 trường THPT Quỳnh Lưu 1, Nghệ An năm học 2016 - 2017.
Đề thi học kì 2 môn Toán lớp 12 trường THPT Bạch Đằng, Quảng Ninh năm học 2016 - 2017
Đề thi học kì 2 môn Toán lớp 12 trường THPT Việt Đức, Hà Nội năm học 2016 - 2017
Đề thi học kì 2 môn Toán lớp 12 trường THPT Vĩnh Viễn, TP HCM năm học 2016 - 2017
Mời làm: Đề thi học kì 2 môn Toán lớp 12 trường THPT Quỳnh Lưu 1, Nghệ An năm học 2016 - 2017 Online
|
SỞ GD&ĐT NGHỆ AN TRƯỜNG THPT QUỲNH LƯU 1 |
ĐỀ THI HỌC KÌ 2 NĂM HỌC 2016 - 2017 MÔN: TOÁN LỚP 12 Thời gian làm bài: 90 phút |






Đáp án đề thi học kì 2 môn Toán lớp 12
|
1. B 2. A 3. B 4. B 5. D 6. A 7. B 8. D 9. C 10. D |
11. B 12. B 13. D 14. D 15. D 16. A 17. D 18. C 19. A 20. D |
21. C 22. C 23. C 24. C 25. B 26. C 27. A 28. A 29. D 30. A |
31. C 32. C 33. C 34. C 35. A 36. B 37. A 38. B 39. B 40. D |
41. D 42. B 43. A 44. C 45. D 46. B 47. A 48. A 49. A 50. D |
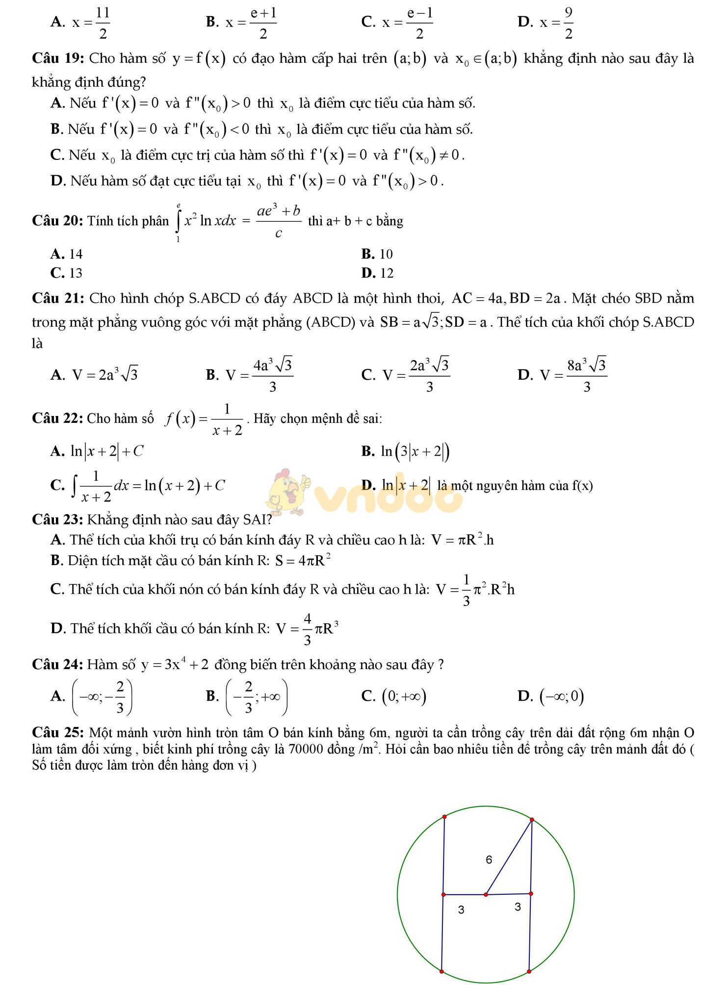
Tài liệu vẫn còn, mời các bạn tham khảo