Bộ đề thi thử THPT Quốc gia năm 2017 môn Toán Sở GD&ĐT An Giang
Đề thi thử THPT Quốc gia năm 2017 môn Toán có đáp án
Loại File:
PDF
Phân loại:
Tài liệu Tính phí
Bộ đề thi thử THPT Quốc gia năm 2017 môn Toán
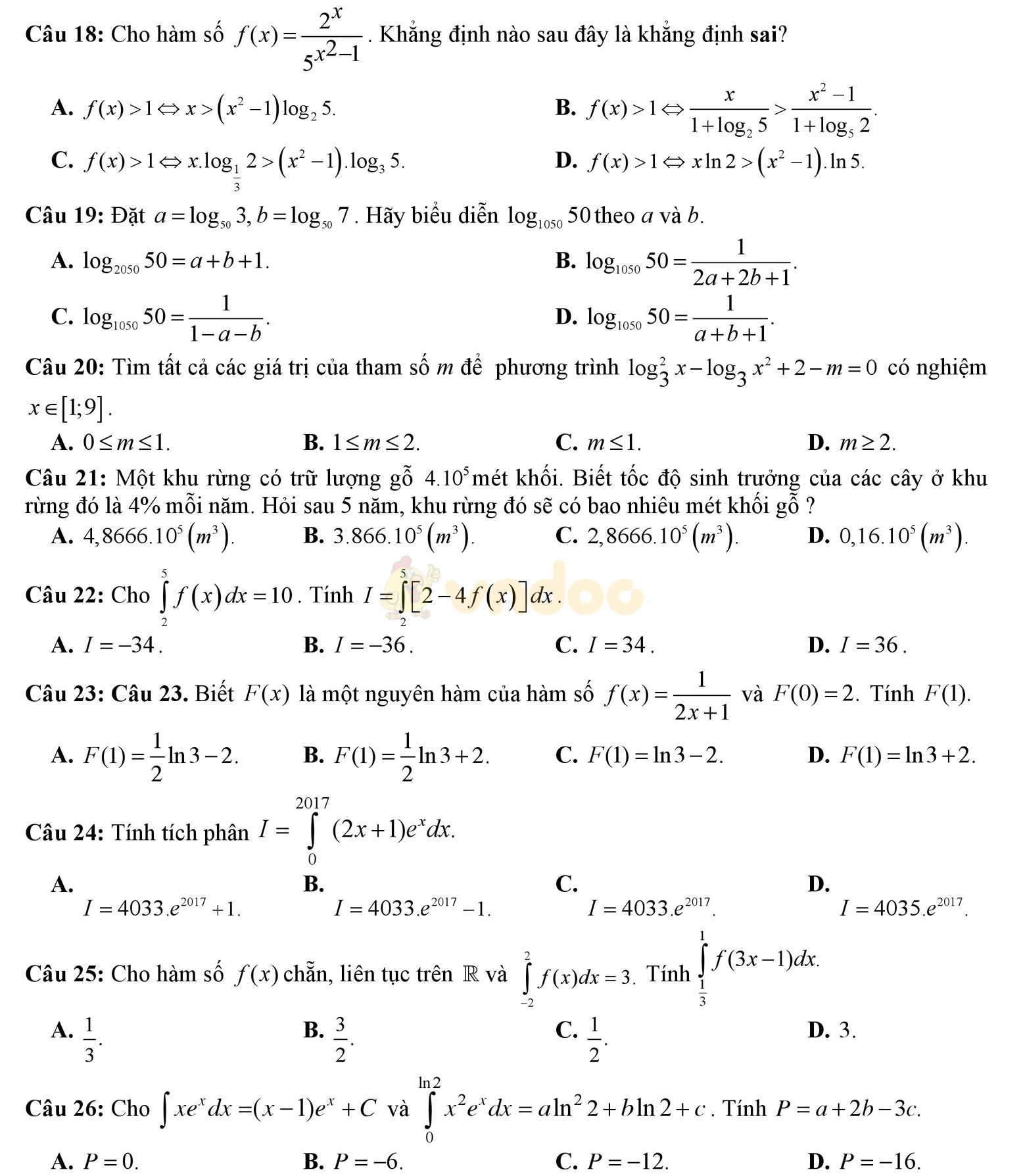
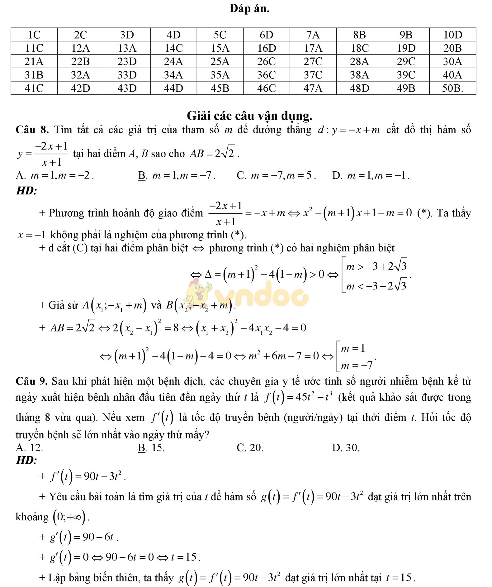
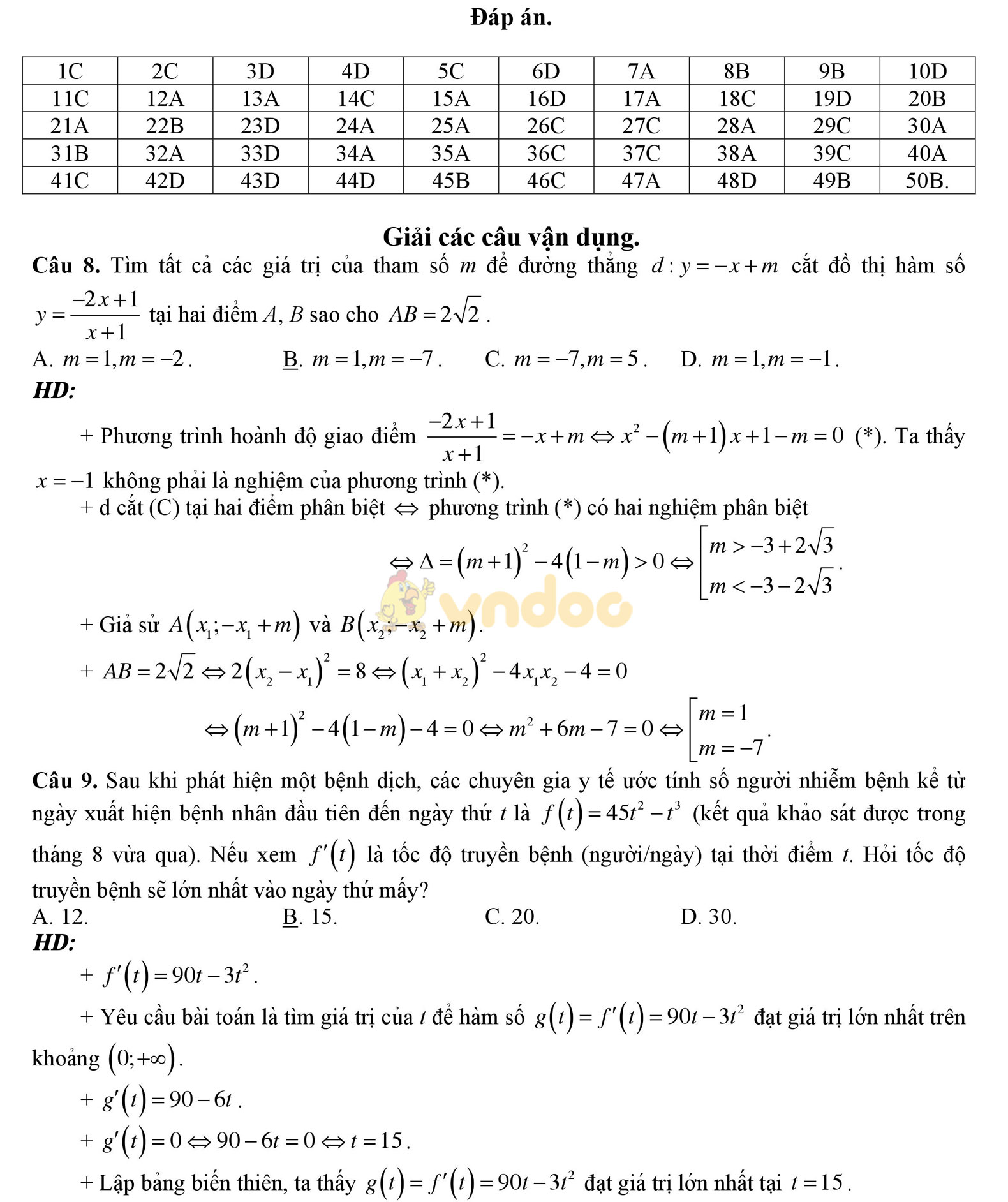
Bộ đề thi thử THPT Quốc gia năm 2017 môn Toán Sở GD&ĐT An Giang. Tài liệu gồm 436 trang tuyển tập 46 đề ôn thi THPT Quốc gia 2017 môn Toán của các trường THPT thuộc Sở GD và ĐT An Giang. Tất cả các đề đều có đáp án và hướng dẫn giải. Mời các bạn cùng tham khảo.
Đề thi thử THPT Quốc gia năm 2017 môn Toán Sở GD&ĐT Nam Định
Đề thi thử THPT Quốc gia năm 2017 môn Toán trường THPT Bắc Yên Thành, Nghệ An
Bộ đề thi thử THPT Quốc gia năm 2017 môn Toán trường THPT Chu Văn An, Giai Lai







Tài liệu vẫn còn, mời các bạn tải về