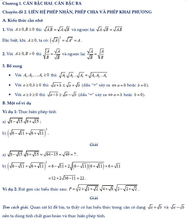
Chuyên đề đại số bồi dưỡng HSG Toán 9 và ôn thi vào lớp 10: Liên hệ phép nhân, phép chia và phép khai phương
Liên hệ phép nhân, phép chia và phép khai phương là những nội dung trọng tâm trong chương trình Đại số lớp 9, đồng thời cũng thường xuyên xuất hiện trong các đề thi tuyển sinh vào lớp 10. Để giúp học sinh nắm vững kiến thức, rèn luyện kỹ năng giải toán và nâng cao tư duy, VnDoc giới thiệu chuyên đề Đại số bồi dưỡng học sinh giỏi Toán 9 và ôn thi vào lớp 10 với chủ đề Liên hệ phép nhân, phép chia và phép khai phương.
Tài liệu bao gồm kiến thức cần nhớ, ví dụ minh họa, bài tập áp dụng kèm lời giải chi tiết, giúp học sinh dễ hiểu, dễ học và có thể tự ôn tập hiệu quả tại nhà.
Hy vọng chuyên đề này sẽ là nguồn tài liệu hữu ích giúp các em củng cố nền tảng kiến thức, tự tin chinh phục các bài toán khó và đạt kết quả cao trong các kì thi sắp tới.
Chuyên đề đại số bồi dưỡng học sinh giỏi Toán 9 và ôn thi vào lớp 10: Liên hệ phép nhân, phép chia và phép khai phương


Để xem một phần Chuyên đề đại số bồi dưỡng học sinh giỏi Toán 9 và ôn thi vào lớp 10: Liên hệ phép nhân, phép chia và phép khai phương, mời các bạn kích vào nút Xem thử. Để xem trọn tài liệu này, mời kích vào nút Tải về.