Đáp án đề thi tuyển sinh lớp 10 môn Toán Bình Thuận 2024
Đề thi tuyển sinh lớp 10 môn Toán Bình Thuận
Lớp:
Ôn vào 10
Môn:
Toán
Dạng tài liệu:
Đề thi
Loại:
Tài liệu Lẻ
Phân loại:
Tài liệu Tính phí
Đề thi tuyển sinh lớp 10 môn Toán 2024 Bình Thuận
Sáng 4/3, các thí sinh tỉnh Bình Thuận tiếp tục làm bài thi môn Toán Kỳ thi tuyển sinh vào lớp 10 năm học 2024 - 2025. VnDoc gửi tới các bạn Đề thi tuyển sinh lớp 10 môn Toán Bình Thuận năm 2024 kèm đáp án tham khảo ngay sau khi kết thúc thời gian làm bài. Mời các bạn theo dõi.
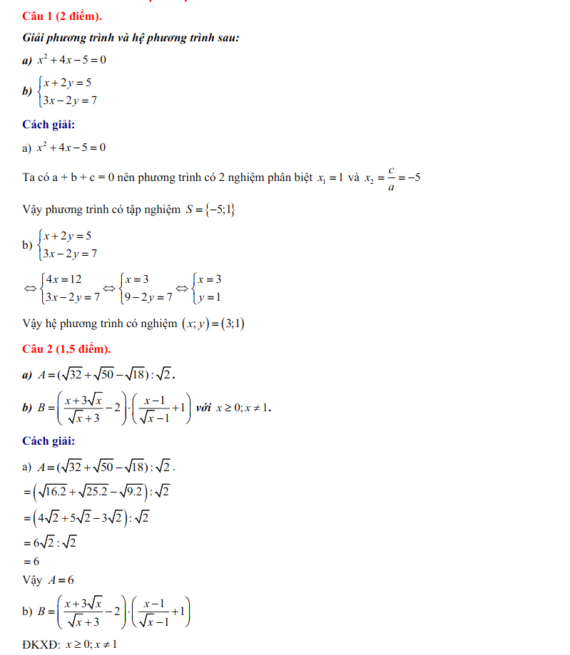
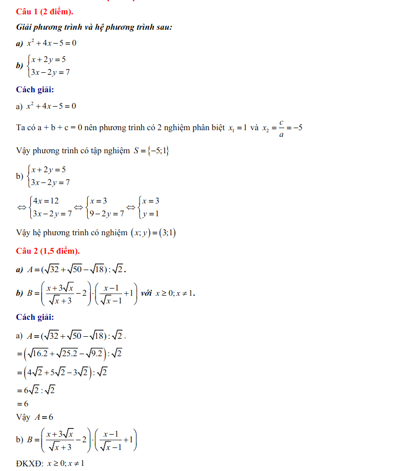
1. Đáp án đề thi vào lớp 10 môn Toán Bình Thuận 2024






2. Đề thi vào 10 Toán Bình Thuận 2024

Lịch thi vào lớp 10 Bình Thuận 2024

3. Đáp án đề thi vào 10 Toán Bình Thuận 2023







4. Đề thi tuyển sinh lớp 10 môn Toán Bình Thuận 2023

