Đáp án đề thi tuyển sinh lớp 10 môn Toán Đà Nẵng 2024
Đề thi vào 10 môn Toán năm 2024 có đáp án
Lớp:
Ôn vào 10
Môn:
Toán
Dạng tài liệu:
Đề thi
Loại:
Tài liệu Lẻ
Phân loại:
Tài liệu Tính phí
Đề thi vào lớp 10 Toán Đà Nẵng năm 2024
Sáng 3/6, các thí sinh TP Đà Nẵng tiếp tục làm bài thi môn Toán kỳ thi tuyển sinh vào lớp 10 năm 2024. VnDoc sẽ gửi tới các bạn Đề thi tuyển sinh lớp 10 môn Toán Đà Nẵng kèm đáp án tham khảo sau khi hết thời gian làm bài. Mời các bạn theo dõi.
1. Đề thi vào 10 môn Toán Đà Nẵng 2024

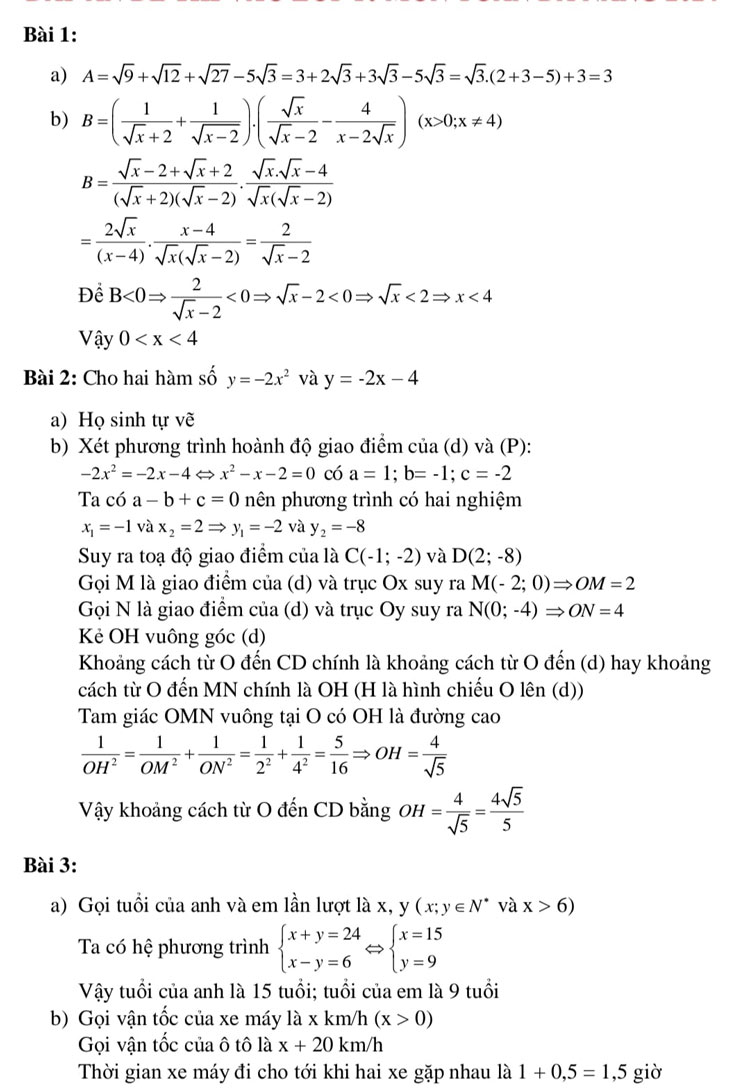
2. Đáp án đề thi vào 10 môn Toán Đà Nẵng 2024




|
Lịch thi vào lớp 10 Đà Nẵng năm 2024 - 2025:
|
3. Đáp án đề thi vào 10 môn Toán Đà Nẵng 2023




4. Đề thi vào 10 môn Toán Đà Nẵng 2023

5. Đáp án đề thi vào 10 môn Toán Đà Nẵng 2022

6. Đề thi tuyển sinh lớp 10 môn Toán Đà Nẵng 2022

