Đáp án đề thi tuyển sinh lớp 10 môn Toán tỉnh Bạc Liêu năm 2022
Đề thi vào lớp 10 Toán Bạc Liêu năm 2022
Sáng 10/6, các thí sinh tỉnh Bạc Liêu tiếp tục tham gia kỳ thi tuyển sinh vào lớp 10 môn Toán năm 2022. Dưới đây, VnDoc xin gửi tới các bạn Đề thi tuyển sinh lớp 10 môn Toán tỉnh Bạc Liêu kèm đáp án tham khảo. Mời các bạn so sánh đối chiếu với kết quả bài làm của mình nhé.
1. Đáp án đề thi vào 10 môn Toán Bạc Liêu 2022
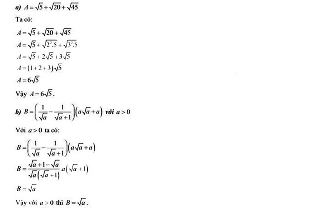
Câu 1

Câu 2

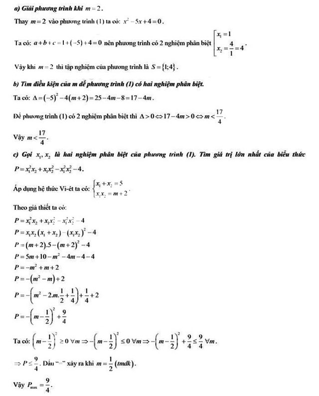
Câu 3


2. Đề thi tuyển sinh lớp 10 môn Toán Bạc Liêu 2022

........................
Trên đây VnDoc đã gửi tới các bạn Đề thi tuyển sinh lớp 10 môn Toán tỉnh Bạc Liêu 2022. Để luyện thêm các đề khác nhau, mời các bạn vào Chuyên mục đề Thi vào lớp 10 năm 2026 trên VnDoc nhé. Việc luyện đề trước kỳ thi là rất cần thiết giúp các em làm quen với cấu trúc bài thi cũng như các dạng bài thường có trong đề. Mời các em tham khảo để có sự chuẩn bị tốt nhất cho kì thi sắp tới của mình.
Ngoài tài liệu trên, mời các bạn tham khảo thêm các môn Toán 9, Văn 9, Anh 9... để có những tài liệu hay và hữu ích phục vụ cho kỳ thi sắp tới của mình. Chúc các bạn ôn thi tốt.