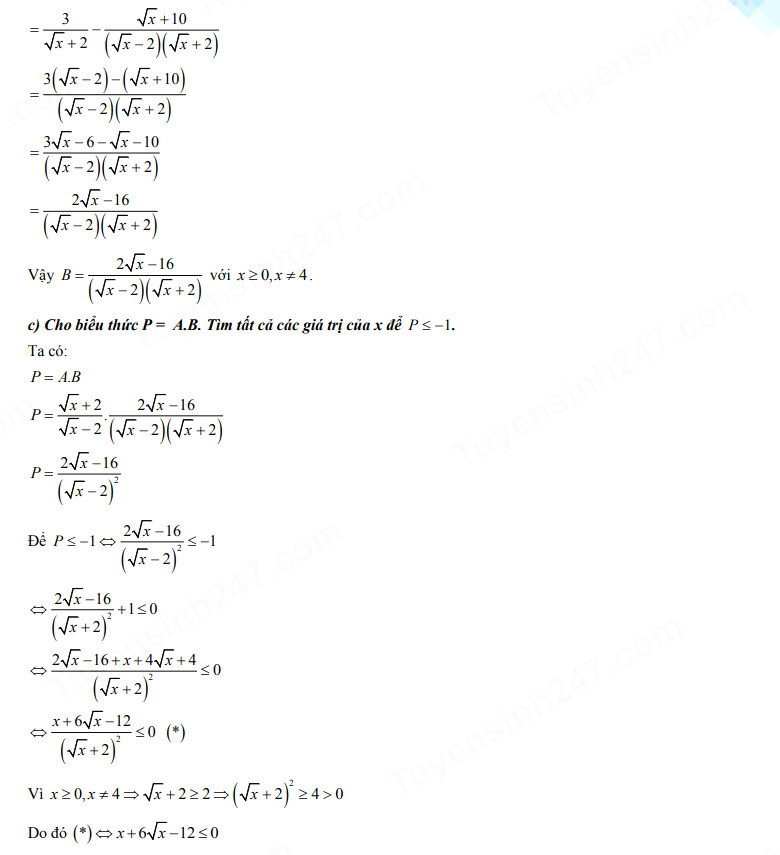
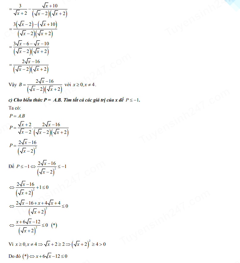
Đáp án đề thi tuyển sinh lớp 10 môn Toán tỉnh Lai Châu 2022
Đề thi vào 10 môn Toán 2022 Lai Châu
Lớp:
Lớp 9
Môn:
Toán
Phân loại:
Tài liệu Tính phí
Đề thi vào 10 môn Toán Lai Châu
Chiều ngày 7/6, các thí sinh của tỉnh Lai Châu tiếp tục bước vào kì thi tuyển sinh lớp 10 năm 2022 với môn Toán. Bài thi Toán sẽ diễn ra trong thời gian 120 phút. Mời các bạn cùng tham khảo chi tiết đề Toán tỉnh Lai Châu dưới đây.
1. Đáp án đề thi tuyển sinh lớp 10 môn Toán tỉnh Lai Châu 2022




2. Đề thi tuyển sinh lớp 10 môn Toán tỉnh Lai Châu 2022

Trên đây VnDoc.com vừa gửi tới bạn đọc bài viết Đáp án đề thi tuyển sinh lớp 10 môn Toán tỉnh Lai Châu 2022. Mời các bạn tham khảo thêm các môn Toán 9 , Văn 9 , Anh 9 ... để có những tài liệu hay và hữu ích phục vụ cho kỳ thi sắp tới của mình. Chúc các bạn ôn thi tốt.