Đáp án đề thi tuyển sinh lớp 10 môn Toán tỉnh Thừa Thiên Huế năm 2022
Đề thi vào lớp 10 Toán Thừa Thiên Huế năm 2022
Chiều 9/6, các thí sinh tỉnh Thừa Thiên Huế tiếp tục hoàn thành bài thi vào lớp 10 môn Toán năm 2022. Sau đây, VnDoc gửi tới các bạn Đề thi tuyển sinh lớp 10 môn Toán tỉnh Thừa Thiên Huế kèm đáp án tham khảo. Mời các bạn so sánh đối chiếu với kết quả bài làm của mình nhé.
1. Đề thi vào 10 môn Toán Thừa Thiên Huế 2022

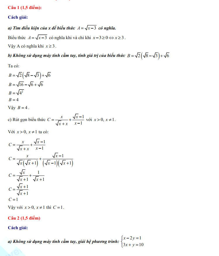
2. Đáp án đề thi tuyển sinh lớp 10 môn Toán Thừa Thiên Huế 2022


........................
Trên đây VnDoc đã gửi tới các bạn Đề thi tuyển sinh lớp 10 môn Toán tỉnh Thừa Thiên Huế 2022. Mời các bạn tham khảo thêm các đề thi khác tại Chuyên mục đề Thi vào lớp 10 năm 2025. Chuyên mục tổng hợp nhiều đề thi mới nhất cho các em ôn luyện và làm quen với nhiều dạng đề khác nhau. Ngoài ra mời các bạn tham khảo thêm các môn Toán 9, Văn 9, Anh 9... để có những tài liệu hay và hữu ích phục vụ cho kỳ thi sắp tới của mình. Chúc các bạn ôn thi tốt.