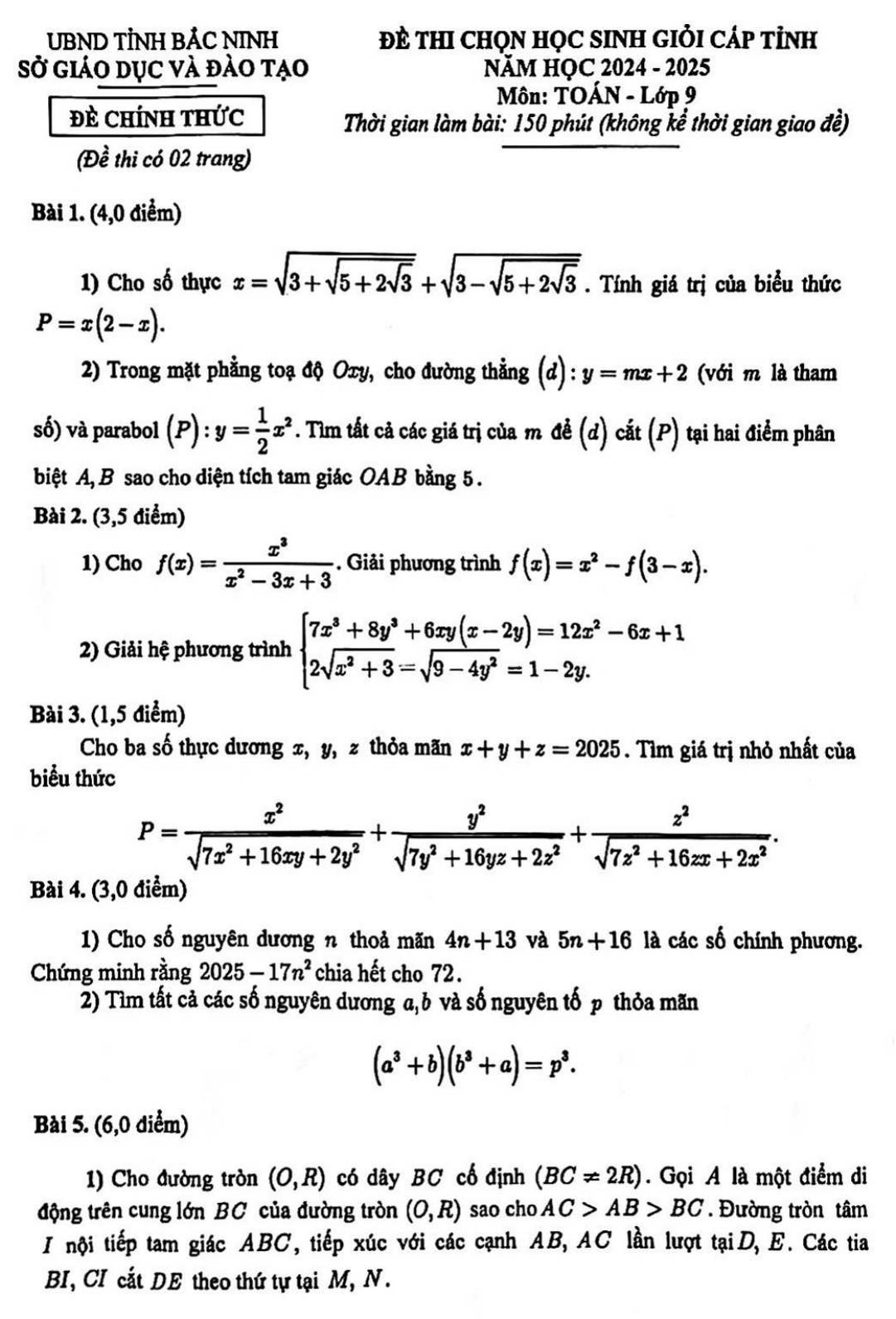
Đề chọn học sinh giỏi tỉnh Toán 9 năm 2024 – 2025 sở GD&ĐT Bắc Ninh
Đề chọn học sinh giỏi tỉnh Toán 9
Lớp:
Lớp 9
Môn:
Toán
Dạng tài liệu:
Đề thi HSG
Loại File:
PDF
Phân loại:
Tài liệu Tính phí


Đề chọn học sinh giỏi tỉnh Toán 9 năm 2024 – 2025 sở GD&ĐT Bắc Ninh được thiết kế bám sát chương trình, giúp học sinh phát triển tư duy và kỹ năng giải toán nâng cao.
Với nội dung được chọn lọc kỹ lưỡng, bài viết không chỉ giúp giáo viên hiểu rõ cấu trúc đề, ra đề sát với chuẩn năng lực mà còn là nguồn tài liệu hữu ích để nâng cao hiệu suất ôn thi cho học trò.