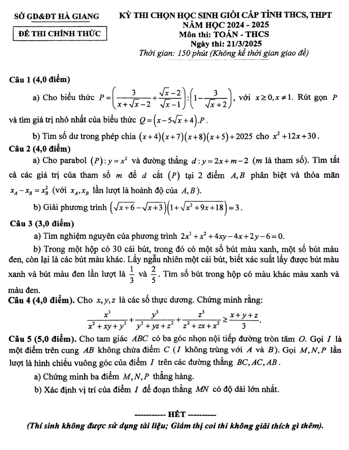
Đề chọn học sinh giỏi tỉnh Toán THCS năm 2024 – 2025 sở GD&ĐT Hà Giang
Đề chọn học sinh giỏi Toán THCS
Lớp:
Lớp 9
Môn:
Toán
Dạng tài liệu:
Đề thi HSG
Loại File:
PDF
Phân loại:
Tài liệu Tính phí

Đề chọn học sinh giỏi tỉnh Toán THCS năm 2024 – 2025 sở GD&ĐT Hà Giang được thiết kế bám sát chương trình, giúp học sinh phát triển tư duy và kỹ năng giải toán nâng cao.
Đây là tài liệu tham khảo quý giá giúp giáo viên tham khảo ra đề, ôn luyện có định hướng cho học sinh và chuẩn bị đội tuyển học sinh giỏi tỉnh hiệu quả.