Đề kiểm tra 45 phút học kì 2 môn Toán lớp 12 (Nâng cao) trường THPT Phan Ngọc Hiển, Cà Mau năm học 2014 - 2015
Đề kiểm tra 45 phút học kì 2 môn Toán lớp 12 (Nâng cao)
Đề kiểm tra 45 phút học kì 2 môn Toán lớp 12 (Nâng cao) trường THPT Phan Ngọc Hiển, Cà Mau năm học 2014 - 2015 là đề thi giữa học kì II lớp 12 môn Toán có đáp án đi kèm. Đây sẽ là tài liệu ôn tập môn Toán lớp 12 hữu ích dành cho các bạn, giúp các bạn củng cố và ôn tập lại kiến thức hiệu quả, đạt điểm cao trong các bài thi sắp tới. Chúc các bạn học tốt.
Đề thi giữa học kì 2 môn Toán lớp 12 trường THPT Đa Phúc, Hà Nội năm học 2015 - 2016
ĐỀ KIỂM TRA MÔN GIẢI TÍCH 12 NÂNG CAO
Thời gian: 45 phút
Bài 1 (2 điểm).
Tìm một nguyên hàm F(x) của f(x) = sinx + 2cos2x, biết F(π) = 1.
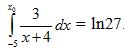
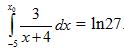
Bài 2 (5 điểm). Tính các tích phân sau:

Bài 3 (3 điểm). Cho hàm số
có đồ thị (C).
a. Tìm diện tích hình phẳng (H) giới hạn bởi (C), tiệm cận ngang của (C) và các đường thẳng x = -3, x = -1.
b. Tìm điểm M0(x0; y0) ∈ (C) sao cho:
.
Đáp án đề kiểm tra 45 phút học kì 2 môn Toán lớp 12 (Nâng cao)
