Đề kiểm tra học kì II lớp 7 môn Toán - THCS Hoàng Xuân Hãn, Hà Tĩnh
Đề kiểm tra môn Toán
Lớp:
Lớp 7
Môn:
Toán
Dạng tài liệu:
Đề thi
Bộ sách:
Kết nối tri thức với cuộc sống
Thời gian:
Học kì 2
Loại File:
PDF
Phân loại:
Tài liệu Tính phí
| TRƯỜNG THCS HOÀNG XUÂN HÃN ĐỨC THỌ - HÀ TĨNH |
ĐỀ KIỂM TRA HỌC KỲ II MÔN TOÁN LỚP 7 |
Thời gian làm bài: 90 phút
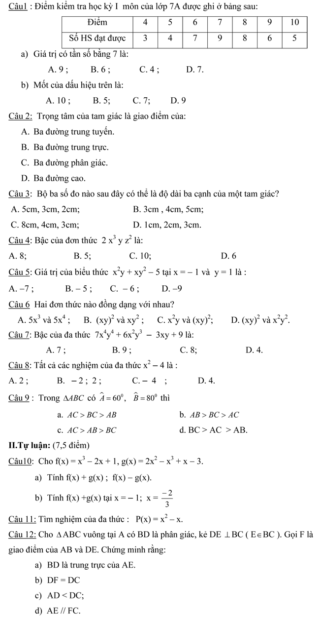
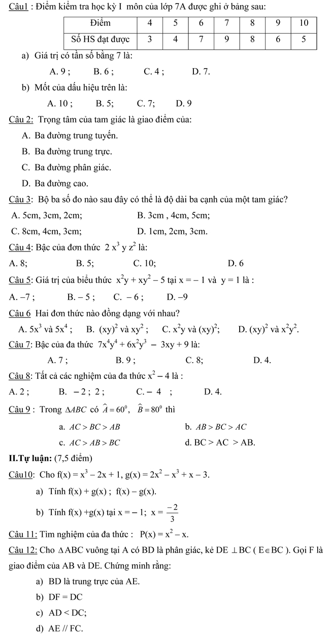
I. Trắc nghiệm khách quan (2,5 điểm)
Trong mỗi câu từ câu 1 đến câu 9 đều có 4 phương án trả lời A, B, C, D; trong đó chỉ có một phương án đúng. Hãy khoanh tròn chữ cái đứng trước phương án đúng.
