Đề kiểm tra khảo sát chất lượng môn Toán lớp 12 năm 2018 Sở GD&ĐT Hà Nội
Đề kiểm tra khảo sát chất lượng môn Toán lớp 12
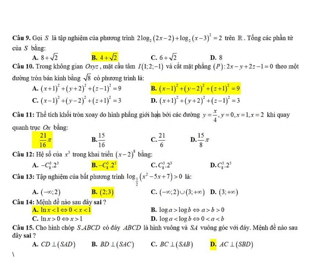
VnDoc xin giới thiệu tới bạn đọc tài liệu Đề kiểm tra khảo sát chất lượng môn Toán lớp 12 năm 2018 Sở GD&ĐT Hà Nội, nội dung tài liệu gồm 50 câu hỏi trắc nghiệm sẽ là nguồn thông tin để giúp các bạn học sinh có kết quả cao hơn trong học tập.
Đề thi thử THPT quốc gia môn Toán năm 2017 - 2018 trường THPT Đức Thọ - Hà Tĩnh
Đề thi thử THPT quốc gia môn Toán năm 2017 - 2018 trường THPT Hương Khê - Hà Tĩnh (Lần 1)
Đề thi thử THPT quốc gia môn Toán năm 2017 - 2018 trường Đại học Ngoại Thương - Hà Nội
Gợi ý đáp án Đề kiểm tra khảo sát chất lượng môn Toán lớp 12 mã đề 157
Gợi ý đáp án Đề kiểm tra khảo sát chất lượng môn Toán lớp 12 mã đề 137







Đề kiểm tra khảo sát chất lượng môn Toán lớp 12 năm 2018
--------------------------------------
Trên đây VnDoc.com đã giới thiệu tới bạn đọc tài liệu: Đề kiểm tra khảo sát chất lượng môn Toán lớp 12 năm 2018 Sở GD&ĐT Hà Nội. Để có kết quả cao hơn trong học tập, VnDoc xin giới thiệu tới các bạn học sinh tài liệu Thi thpt Quốc gia môn Toán, Thi thpt Quốc gia môn Văn mà VnDoc tổng hợp và đăng tải.





