Đề ôn tập Toán lớp 12
Đề ôn tập Toán lớp 12 là tài liệu tổng hợp kiến thức, đề ôn thi học kì 2 lớp 12 môn Toán, giúp các bạn tự hệ thống được các dạng bài tập, phần trọng tâm kiến thức môn Toán cũng như đánh giá được trình độ bản thân, từ đó có các chiến lược ôn tập hiệu quả nhất trước các kì thi quan trọng sắp tới.
Đề ôn tập Toán lớp 12
| ĐỀ THAM KHẢO Đề số 1 |
ĐỀ THI HỌC KÌ 2 – Năm học 2014-2015 Môn TOÁN Lớp 12 Thời gian làm bài 120 phút |
Câu 1. Cho hàm số y = mx4 + (m2 - 9)x2 + 10 (m là tham số).
a. Khảo sát và vẽ đồ thị hàm số khi m= 1.
b. Tìm m để hàm số có 3 điểm cực trị.
c. Dựa vào đồ thị ( C ) hãy biện luận số nghiệm của phương trình -1/4x4 + 2x2 + 2m - 3 = 0.
Câu 2: Tính các tích phân sau:

Câu 4: Cho hình chóp S.ABCD, có SA vuông góc (ABCD) và đáy ABCD là hình vuông cạnh a , biết góc ASD = 60o.Tính thể tích khối chóp S.ABCD và khoảng cách từ D đến mặt phẳng (SBC) theo a.

a. Viết phương trình mặt phẳng (P ) đi qua trung điểm I của AB và vuông góc với AB. Gọi K là giao điểm của đường thẳng d với mặt phẳng P), chứng minh rằng d vuông góc với IK.
b. Viết phương trình đường thẳng của hình chiếu của d lên trên mặt phẳng (Q): x + y - z + 1 =0.
Câu 6.
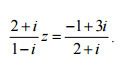
a. Tìm tập hợp các điểm trong mặt phẳng phức biểu diễn các số phức z thoả mãn điều kiện sau:
![]()
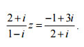
b, Giải các phương trình sau trên tập số phức
+) z2 + (3 + 2i)z - 7 + 17i = 0 ; 
Câu 7. Tính diện tích hình phẳng giới hạn bởi các đường sau: y = x2 - 2x + 3, y = 2x -1, x = 0.