Đề thi cao học trường Đại học Bình Dương năm 2011 - Môn: Toán kinh tế
|
TRƯỜNG ĐẠI HỌC BÌNH DƯƠNG HỘI ĐỒNG TUYỂN SINH SAU ĐẠI HỌC NĂM 2011 |
ĐỀ THI TUYỂN SINH CAO HỌC NĂM 2011 |
Câu 1 (1,5 điểm). Giải và biện luận hệ phương trình sau theo tham số thực m

Câu 2 (1,5 điểm). Xét mô hình Input - Output mở gồm 3 ngành kinh tế và ma trận hệ số đầu vào là:

a) Nêu ý nghĩa kinh tế của hệ số a23
b) Tìm mức sản lượng của 3 ngành kinh tế ứng với lượng sản phẩm yêu cầu của ngành kinh tế mở trị giá (130, 69, 79).
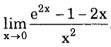
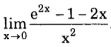
Câu 3. (1,0 điểm): Tính giới hạn 
Câu 4. (1,0 điểm) . Tìm cực trị của hàm số z = x2 - 6xy + y3 + x - 3y.
Câu 5. (1,0 điểm). Có hai lô hàng I và II. Lô I chứa 8 sản phẩm tốt và 6 sản phẩm xấu. Lô II chứa 10 sản phẩm tốt và 5 sản phẩm xấu. Chọn ngẫu nhiên từ mỗi lô 2 sản phẩm. Tính xác suất chọn được 2 sản phẩm tốt và 2 sản phẩm xấu.