Đề thi chọn đội tuyển học sinh giỏi Toán lớp 12 năm 2011 - 2012
Vndoc.com xin giới thiệu đến các bạn: Đề thi chọn đội tuyển học sinh giỏi Toán lớp 12 năm 2011 - 2012.
Đề thi môn Toán:
| SỞ GIÁO DỤC VÀ ĐÀO TẠO THÀNH PHỐ HỒ CHÍ MINH |
KỲ THI CHỌN ĐỘI TUYỂN HỌC SINH GIỎI |
ĐỀ CHÍNH THỨC
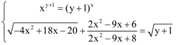
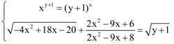
Bài 1: (4 điểm)
Giải hệ phương trình sau:

Bài 2: (4 điểm)
Cho hai đường tròn và cắt nhau tại A và B. Trên tia đối của tia AB lấy điểm M. Cát tuyến qua B cắt (O1) và (O2) lần lượt tại C và D (B nằm giữa C và D). Đường thẳng MC cắt (O1) tại P khác C. Đường thẳng MD cắt (O2) tại Q khác D. Gọi O là tâm đường tròn ngoại tiếp tam giác ACD, E là giao điểm của PB và AC, F là giao điểm của QB và AD. Chứng minh rằng MO vuông góc với EF .
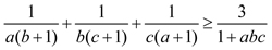
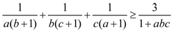
Bài 3: (4 điểm)
Cho a, b, c là các số thực dương, chứng minh rằng:

Bài 4: (4 điểm)
Cho đa thức P(x) = x2012 - mx2010 + m (m#0). Giả sử P(x) có đủ 2012 nghiệm thực. Chứng minh rằng trong các nghiệm của P(x) có ít nhất một nghiệm x0 thoả mãn |x0| < căn bậc 2 của 2
Bài 5: (4 điểm)
Cho các số nguyên x, y. Biết rằng: x2 – 2xy + y2 – 5x + 7y và x2 – 3xy + 2y2 + x – y đều chia hết cho 17.
Chứng minh rằng: xy – 12x + 15y chia hết cho 17.