Đề thi chọn đội tuyển học sinh giỏi Toán lớp 12 vòng 2 năm 2012 - 2013 (có đáp án)
Vndoc.com xin giới thiệu đến các bạn: Đề thi chọn đội tuyển học sinh giỏi Toán lớp 12 vòng 2 năm 2012 - 2013 (có đáp án).
Đề thi chọn đội tuyển học sinh giỏi Toán:
| SỞ GIÁO DỤC VÀ ĐÀO TẠO THÀNH PHỐ HỒ CHÍ MINH |
KỲ THI CHỌN ĐỘI TUYỂN HỌC SINH GIỎI |
ĐỀ CHÍNH THỨC
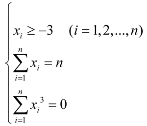
Bài 1. (4 điểm) Cho số nguyên dương n. Giải và biện luận theo n hệ phương trình sau:

Bài 2. (4 điểm) Tìm tất cả các hàm số f: R -> R thỏa mãn: f(x2 + 2f(y)) = y/2 + 2(f(x))2, với mọi x, y thuộc tập hợp R
Bài 3. (4 điểm)
Giả sử số nguyên dương n có tất cả k ước dương là d1, d2,...,dk. Chứng minh rằng nếu d1 + d2 +... + dk + k = 2n + 1 thì n/2 là số chính phương
Bài 4. (4 điểm)
Cho ba đường tròn (C), (C1), (C2) trong đó (C1) và (C2) tiếp xúc trong với (C) tại B, C và (C1), (C2) tiếp xúc ngoài với nhau tại D. Tiếp tuyến chung trong của (C1) và (C2) cắt (C) tại hai điểm A và E. Đường thẳng AB cắt (C1) tại điểm thứ hai M, đường thẳng AC cắt (C2) tại điểm thứ hai N. Chứng minh rằng: 1/DA + 1/DE = 2/MN
Bài 5. (4 điểm)
Cho một bảng ô vuông có 2012 x 2012 ô, mỗi ô đều điền vào một dấu + . Thực hiện phép biến đổi sau: đổi dấu toàn bộ một hàng hoặc một cột của bảng (+ thành – , – thành +). Hỏi sau một số lần thực hiện phép biến đổi, bảng có thể có đúng 18 dấu – được hay không?