Đề thi chọn học sinh giỏi THPT thi Quốc gia tỉnh Đăk Lăk năm 2013 - 2014
Đề thi đáp án kỳ thi lập đội tuyển dự thi Quốc gia năm học 2013 - 2014 của Sở giáo dục và đào tạo tỉnh Đăk Lăk. Kỳ thi được diễn ra trong 2 ngày 24/10/2013 và 25/10/2013 với các môn: Toán, Vật lý, Hóa học, Ngữ văn, Tiếng Anh, Tiếng Pháp, Địa lý, Sinh học, Lịch sử, Tin học.
Dưới đây là một số đề thi được chúng tôi giới thiệu tới bạn đọc. Quý bạn đọc có thể tải file để xem chi tiết tất cả các môn.
SỞ GIÁO DỤC VÀ ĐÀO TẠO
|
KỲ THI LẬP ĐỘI TUYỂN DỰ THI QUỐC GIA
|
ĐỀ THI MÔN: TOÁN
Câu 1. (5,0 điểm)
Cho hàm số: ![]()
Lập phương trình tiếp tuyến với đồ thị hàm số biết tiếp tuyến đó có hệ số góc lớn nhất.
Câu 2. (5,0 điểm)
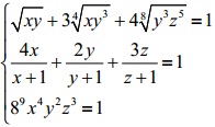
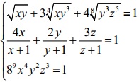
Giải hệ phương trình:
Câu 3. (5,0 điểm)
Cho tam giác ABC nội tiếp trong đường tròn (O; R), D là điểm thuộc cung BC không chứa A, gọi H, I, K lần lượt là chân đường vuông góc kẻ từ D đến các cạnh BC, CA, AB. Xác định vị trí của điểm D để tổng
đạt giá trị nhỏ nhất.
Câu 4. (5,0 điểm)
Tìm tất cả các đa thức P(x) có hệ số thực thỏa mãn: P(x + 1) = P(x) + 3x2 + 3x + 1, với mọi x thuộc R.
ĐỀ THI MÔN: NGỮ VĂN
Câu 1 (8 điểm):
Karl Marx nói: “Thực tế đã chứng minh rằng người hạnh phúc nhất chính là người làm cho người khác hạnh phúc”.
Từ ý kiến trên, anh/chị hãy phát biểu quan niệm của mình về hạnh phúc.
Câu 2 (12 điểm):
Nguyễn Đình Thi cho rằng: “Nguyễn Tuân là một nhà văn suốt đời đi tìm cái đẹp”.
Anh/chị hãy cảm nhận và so sánh vẻ đẹp khác nhau của nhân vật Huấn Cao trong tác phẩm “Chữ người tử tù” và nhân vật ông lái đò trong tác phẩm “Người lái đò sông Đà” để làm sáng tỏ ý kiến trên.