Đề thi đại học môn Toán khối A
Nhằm giúp các bạn học sinh lớp 12 ôn thi đại học môn toán, VnDoc.com xin giới thiệu Đề thi đại học môn Toán khối A năm 2012 dành cho khối A và khối A1. Tài liệu này giúp các bạn làm quen với các dạng đề trong bài thi, tự luyện tập để củng cố lại kiến thức đã học. Mời các bạn cùng tải về để tham khảo.
ĐỀ THI ĐẠI HỌC MÔN TOÁN NĂM 2012
|
BỘ GIÁO DỤC VÀ ĐÀO TẠO |
ĐỀ THI TUYỂN SINH ĐẠI HỌC NĂM 2012 Môn: TOÁN; Khối A và khối A1 Thời gian làm bài: 180 phút, không kể thời gian phát đề |
I. PHẦN CHUNG CHO TẤT CẢ THÍ SINH (7,0 điểm)
Câu 1 (2,0 điểm). Cho hàm số y = x4 - 2(m + 1)x2 + m2 (1), với m là tham số thực.
a) Khảo sát sự biến thiên và vẽ đồ thị của hàm số (1) khi m = 0.
b) Tìm m để đồ thị của hàm số (1) có ba điểm cực trị tạo thành ba đỉnh của một tam giác vuông.
Câu 2 (1,0 điểm). Giải phương trình √3 sin2x + cos2x = cos2x - 1.

Câu 5 (1,0 điểm). Cho hình chóp có đáy là tam giác đều cạnh a. Hình chiếu vuông góc của trên mặt phẳng (ABC) là điểm H thuộc cạnh AB sao cho HA = 2HB. Góc giữa đường thẳng SC và mặt phẳng (ABC) bằng 600. Tính thể tích của khối chóp S.ABC và tính khoảng cách giữa hai đường thẳng SA và BC theo a.
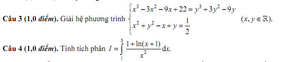
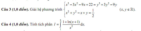
Câu 6 (1,0 điểm). Cho các số thực x, y, z thỏa mãn điều kiện x + y + z = 0. Tìm giá trị nhỏ nhất của biểu thức
![]()
II. PHẦN RIÊNG (3,0 điểm): Thí sinh chỉ được làm một trong hai phần riêng (phần A hoặc phần B)
A. Theo chương trình Chuẩn

---------- HẾT ----------
Thí sinh không được sử dụng tài liệu. Cán bộ coi thi không giải thích gì thêm.
Họ và tên thí sinh:....................................................................; Số báo danh: ..............................................