Đề thi - Đáp án thi Đại học năm 2013 - Khối A
Đề thi đáp án kì thi đại học năm 2013 khối A: Môn Toán, Lý, Hóa được đã được chúng tôi đã cập nhật kịp thời ngay sau khi kết thúc 3 môn thi Đại học khối A năm 2013. Mời tất cả các em học sinh, phụ huynh, thầy cô giáo xem đề thi môn Toán, Lý, Hóa do bộ Giáo dục và Đào tạo công bố dưới đây:
Đề thi đại học năm 2013 khối A môn Hóa
| BỘ GIÁO DỤC VÀ ĐÀO TẠO ĐỀ CHÍNH THỨC (Đề thi có 6 trang) |
ĐỀ THI TUYỂN SINH ĐẠI HỌC NĂM 2013 Môn: HÓA HỌC; Khối A Thời gian làm bài: 90 phút, không kể thời gian phát đề |
Mã đề thi 193
Họ, tên thí sinh:.................................. Số báo danh:............................................................................
Cho biết nguyên tử khối của các nguyên tố:
H = 1; C = 12; N = 14; O = 16; Na = 23; Mg = 24; Al = 27; P = 31; S = 32; Cl = 35,5; Ca = 40; Cr = 52; Fe = 56; Cu = 64; Zn = 65; Br = 80; Ag = 108; Ba = 137
I. PHẦN CHUNG CHO TẤT CẢ THÍ SINH (40 câu, từ câu 1 đến câu 40).
Câu 1: Khối lượng Ag thu được khi cho 0,1 mol CH3CHO phản ứng hoàn toàn với lượng dư dung dịch AgNO3 trong NH3, đun nóng là
A. 21,6 gam. B. 43,2 gam. C. 16,2 gam. D. 10,8 gam.
Câu 2: Hỗn hợp X gồm 3,92 gam Fe, 16 gam Fe2O3 và m gam Al. Nung X ở nhiệt độ cao trong điều kiện không có không khí, thu được hỗn hợp chất rắn Y. Chia Y thành hai phần bằng nhau. Phần một tác dụng với dung dịch H2SO4 loãng (dư), thu được 4a mol khí H2. Phần hai phản ứng với dung dịch NaOH dư, thu được a mol khí H2. Biết các phản ứng đều xảy ra hoàn toàn. Giá trị của m là:
A. 3,51. B. 4,05. C. 5,40. D. 7,02.
Câu 3: Tơ nilon-6,6 là sản phẩm trùng ngưng của
A. axit ađipic và etylen glicol. B. axit ađipic và hexametylenđiamin.
C. axit ađipic và glixerol. D. etylen glicol và hexametylenđiamin
Câu 4: Ở điều kiện thích hợp xảy ra các phản ứng sau:
(a) 2C + Ca → CaC2. (b) C + 2H2 → CH4.
(c) C + CO2 → 2CO. (d) 3C + 4Al → Al4C3.
Trong các phản ứng trên, tính khử của cacbon thể hiện ở phản ứng
A. (a). B. (c). C. (d). D. (b).
Câu 5: Tiến hành các thí nghiệm sau:
(a) Sục khí etilen vào dung dịch KMnO4 loãng.
(b) Cho hơi ancol etylic đi qua bột CuO nung nóng.
(c) Sục khí etilen vào dung dịch Br2 trong CCl4.
(d) Cho dung dịch glucozơ vào dung dịch AgNO3 trong NH3 dư, đun nóng.
(e) Cho Fe2O3 vào dung dịch H2SO4 đặc, nóng.
Trong các thí nghiệm trên, số thí nghiệm có xảy ra phản ứng oxi hóa - khử là:
A. 3. B. 4. C. 2. D. 5.
Câu 6: Oxi hóa hoàn toàn 3,1 gam photpho trong khí oxi dư. Cho toàn bộ sản phẩm vào 200 ml dung dịch NaOH 1M đến khi phản ứng xảy ra hoàn toàn, thu được dung dịch X. Khối lượng muối trong X là
A. 16,4 gam. B. 14,2 gam. C. 12,0 gam. D. 11,1 gam.
Câu 7: Tiến hành điện phân dung dịch chứa m gam hỗn hợp CuSO4 và NaCl (hiệu suất 100%, điện cực trơ, màng ngăn xốp), đến khi nước bắt đầu bị điện phân ở cả hai điện cực thì ngừng điện phân, thu được dung dịch X và 6,72 lít khí (đktc) ở anot. Dung dịch X hòa tan tối đa 20,4 gam Al2O3.
Giá trị của m là:
A. 25,6. B. 51,1. C. 50,4. D. 23,5.
Câu 8: Các chất trong dãy nào sau đây đều tạo kết tủa khi cho tác dụng với dung dịch AgNO3 trong NH3 dư, đun nóng?
A. vinylaxetilen, glucozơ, axit propionic. B. vinylaxetilen, glucozơ, anđehit axetic.
C. glucozơ, đimetylaxetilen, anđehit axetic. D. vinylaxetilen, glucozơ, đimetylaxetilen.
Câu 9: Trong điều kiện thích hợp, xảy ra các phản ứng sau:
(a) 2H2SO4 + C → 2SO2 + CO2 + 2H2O.
(b) H2SO4 + Fe(OH)2 → FeSO4 + 2H2O.
(c) 4H2SO4 + 2FeO → Fe2(SO4)3 + SO2 + 4H2O.
(d) 6H2SO4 + 2Fe → Fe2(SO4)3 + 3SO2 + 6H2O.
Trong các phản ứng trên, phản ứng xảy ra với dung dịch H2SO4 loãng là:
A. (d). B. (a). C. (c). D. (b).
Câu 10: Dãy các chất đều tác dụng được với dung dịch Ba(HCO3)2 là:
A. HNO3, NaCl và Na2SO4. B. HNO3, Ca(OH)2 và KNO3.
C. NaCl, Na2SO4 và Ca(OH)2. D. HNO3, Ca(OH)2 và Na2SO4.
Câu 11: Cho 100 ml dung dịch amino axit X nồng độ 0,4M tác dụng vừa đủ với 80 ml dung dịch NaOH 0,5M, thu được dung dịch chứa 5 gam muối. Công thức của X là:
A. NH2C3H6COOH. B. NH2C3H5(COOH)2.
C. (NH2)2C4H7COOH. D. NH2C2H4COOH.
Câu 12: Chất nào sau đây không tạo kết tủa khi cho vào dung dịch AgNO3?
A. HCl. B. K3PO4. C. KBr. D. HNO3.
Câu 13: Trong một bình kín chứa 0,35 mol C2H2; 0,65 mol H2 và một ít bột Ni. Nung nóng bình một thời gian, thu được hỗn hợp khí X có tỉ khối so với H2 bằng 8. Sục X vào lượng dư dung dịch AgNO3 trong NH3 đến phản ứng hoàn toàn, thu được hỗn hợp khí Y và 24 gam kết tủa. Hỗn hợp khí Y phản ứng vừa đủ với bao nhiêu mol Br2 trong dung dịch?
A. 0,20 mol. B. 0,10 mol. C. 0,25 mol. D. 0,15 mol.
Câu 14: Ở trạng thái cơ bản, cấu hình electron của nguyên tử Na (Z = 11) là:
A. 1s22s22p53s2. B. 1s22s22p63s1. C. 1s22s22p63s2. D. 1s22s22p43s1.
Câu 15: Cho 1,37 gam Ba vào 1 lít dung dịch CuSO4 0,01M. Sau khi các phản ứng xảy ra hoàn toàn, khối lượng kết tủa thu được là:
A. 2,33 gam. B. 0,98 gam. C. 3,31 gam. D. 1,71 gam.
Câu 16: Hỗn hợp X gồm Ba và Al. Cho m gam X vào nước dư, sau khi các phản ứng xảy ra hoàn toàn, thu được 8,96 lít khí H2 (đktc). Mặt khác, hòa tan hoàn toàn m gam X bằng dung dịch NaOH, thu được 15,68 lít khí H2 (đktc). Giá trị của m là:
A. 16,4. B. 29,9. C. 24,5. D. 19,1.
Câu 17: Dung dịch axit axetic phản ứng được với tất cả các chất trong dãy nào sau đây?
A. NaOH, Cu, NaCl. B. Na, NaCl, CuO. C. NaOH, Na, CaCO3. D. Na, CuO, HCl.
Câu 18: Cho sơ đồ các phản ứng:

A. CH3COOCH=CH2 và CH3CHO. B. HCOOCH=CH2 và HCHO.
C. CH3COOCH=CH2 và HCHO. D. CH3COOC2H5 và CH3CHO.
Câu 19: Hỗn hợp X chứa ba axit cacboxylic đều đơn chức, mạch hở, gồm một axit no và hai axit không no đều có một liên kết đôi (C=C). Cho m gam X tác dụng vừa đủ với 150 ml dung dịch NaOH 2M, thu được 25,56 gam hỗn hợp muối. Đốt cháy hoàn toàn m gam X, hấp thụ toàn bộ sản phẩm cháy bằng dung dịch NaOH dư, khối lượng dung dịch tăng thêm 40,08 gam. Tổng khối lượng của hai axit cacboxylic không no trong m gam X là:
A. 15,36 gam. B. 9,96 gam. C. 12,06 gam. D. 18,96 gam.
Câu 20: Thực hiện các thí nghiệm sau:
(a) Cho dung dịch HCl vào dung dịch Fe(NO3)2.
(b) Cho FeS vào dung dịch HCl.
(c) Cho Si vào dung dịch NaOH đặc.
(d) Cho dung dịch AgNO3 vào dung dịch NaF.
(e) Cho Si vào bình chứa khí F2.
(f) Sục khí SO2 vào dung dịch H2S.
Trong các thí nghiệm trên, số thí nghiệm có xảy ra phản ứng là
A. 5. B. 3. C. 6. D. 4.
Câu 21: Kim loại sắt tác dụng với dung dịch nào sau đây tạo ra muối sắt(II)?
A. HNO3 đặc, nóng, dư. B. CuSO4.
C. H2SO4 đặc, nóng, dư. D. MgSO4.
Câu 22: Phenol phản ứng được với dung dịch nào sau đây?
A. NaCl. B. HCl. C. NaHCO3. D. KOH.
Câu 23: Cho hỗn hợp X gồm 0,01 mol Al và a mol Fe vào dung dịch AgNO3 đến khi phản ứng hoàn toàn, thu được m gam chất rắn Y và dung dịch Z chứa 3 cation kim loại. Cho Z phản ứng với dung dịch NaOH dư trong điều kiện không có không khí, thu được 1,97 gam kết tủa T. Nung T trong không khí đến khối lượng không đổi, thu được 1,6 gam chất rắn chỉ chứa một chất duy nhất. Giá trị của m là:
A. 6,48. B. 3,24. C. 8,64. D. 9,72.
Câu 24: Cho bột Fe vào dung dịch gồm AgNO3 và Cu(NO3)2. Sau khi các phản ứng xảy ra hoàn toàn, thu được dung dịch X gồm hai muối và chất rắn Y gồm hai kim loại. Hai muối trong X và hai kim loại trong Y lần lượt là:
A. Fe(NO3)2; Fe(NO3)3 và Cu; Ag. B. Cu(NO3)2; AgNO3 và Cu; Ag.
C. Cu(NO3)2; Fe(NO3)2 và Cu; Fe. D. Cu(NO3)2; Fe(NO3)2 và Ag; Cu.
Câu 25: Ứng với công thức phân tử C4H10O có bao nhiêu ancol là đồng phân cấu tạo của nhau?
A. 4. B. 3. C. 2. D. 5.
Câu 26: Tên thay thế (theo IUPAC) của (CH3)3C–CH2–CH(CH3)2 là:
A. 2,2,4,4-tetrametylbutan. B. 2,4,4-trimetylpentan.
C. 2,2,4-trimetylpentan. D. 2,4,4,4-tetrametylbutan.
Câu 27: Hòa tan hoàn toàn m gam Al bằng dung dịch HNO3 loãng, thu được 5,376 lít (đktc) hỗn hợp khí X gồm N2, N2O và dung dịch chứa 8m gam muối. Tỉ khối của X so với H2 bằng 18. Giá trị của m là
A. 21,60. B. 18,90. C. 17,28. D. 19,44.
Câu 28: Chất nào sau đây khi đun nóng với dung dịch NaOH thu được sản phẩm có anđehit?
A. CH3–COO–CH2–CH=CH2. B. CH3–COO–C(CH3)=CH2.
C. CH2=CH–COO–CH2–CH3. D. CH3–COO–CH=CH–CH3.
Câu 29: Liên kết hóa học giữa các nguyên tử trong phân tử HCl thuộc loại liên kết:
A. cộng hóa trị có cực. B. hiđro.
C. cộng hóa trị không cực. D. ion.
Câu 30: Cho X là hexapeptit Ala–Gly–Ala–Val–Gly–Val và Y là tetrapeptit Gly–Ala–Gly–Glu. Thủy phân hoàn toàn m gam hỗn hợp gồm X và Y thu được 4 amino axit, trong đó có 30 gam glyxin và 28,48 gam alanin. Giá trị của m là:
A. 73,4. B. 77,6. C. 83,2. D. 87,4.
Câu 31: Cho 0,1 mol tristearin ((C17H35COO)3C3H5) tác dụng hoàn toàn với dung dịch NaOH dư, đun nóng, thu được m gam glixerol. Giá trị của m là
A. 27,6. B. 4,6. C. 14,4. D. 9,2.
Câu 32: Cho các cân bằng hóa học sau:
(a) H2 (k) + I2 (k) ↔ 2HI (k). (b) 2NO2 (k) ↔ N2O4 (k).
(c) 3H2 (k) + N2 (k) ↔ 2NH3 (k). (d) 2SO2 (k) + O2 (k) ↔ 2SO3 (k).
Ở nhiệt độ không đổi, khi thay đổi áp suất chung của mỗi hệ cân bằng, cân bằng hóa học nào ở trên không bị chuyển dịch?
A. (b). B. (a). C. (c). D. (d).
Câu 33: Dung dịch nào sau đây làm phenolphtalein đổi màu?
A. axit axetic. B. alanin. C. glyxin. D. metylamin.
Câu 34: Hỗn hợp X gồm Na, Ba, Na2O và BaO. Hòa tan hoàn toàn 21,9 gam X vào nước, thu được 1,12 lít khí H2 (đktc) và dung dịch Y, trong đó có 20,52 gam Ba(OH)2. Hấp thụ hoàn toàn 6,72 lít khí CO2 (đktc) vào Y, thu được m gam kết tủa. Giá trị của m là:
A. 15,76. B. 39,40. C. 21,92. D. 23,64.
Câu 35: Hòa tan hoàn toàn 1,805 gam hỗn hợp gồm Fe và kim loại X bằng dung dịch HCl, thu được 1,064 lít khí H2. Mặt khác, hòa tan hoàn toàn 1,805 gam hỗn hợp trên bằng dung dịch HNO3 loãng (dư), thu được 0,896 lít khí NO (sản phẩm khử duy nhất). Biết các thể tích khí đều đo ở điều kiện tiêu chuẩn. Kim loại X là
A. Zn. B. Cr. C. Al. D. Mg.
Câu 36: Khi được chiếu sáng, hiđrocacbon nào sau đây tham gia phản ứng thế với clo theo tỉ lệ mol 1 : 1, thu được ba dẫn xuất monoclo là đồng phân cấu tạo của nhau?
A. neopentan. B. pentan. C. butan. D. isopentan.
Câu 37: Lên men m gam glucozơ để tạo thành ancol etylic (hiệu suất phản ứng bằng 90%). Hấp thụ hoàn toàn lượng khí CO2 sinh ra vào dung dịch Ca(OH)2 dư, thu được 15 gam kết tủa. Giá trị của m là:
A. 7,5. B. 15,0. C. 18,5. D. 45,0.
Câu 38: Cho m gam Fe vào bình chứa dung dịch gồm H2SO4 và HNO3, thu được dung dịch X và 1,12 lít khí NO. Thêm tiếp dung dịch H2SO4 dư vào bình thu được 0,448 lít khí NO và dung dịch Y. Biết trong cả hai trường hợp NO là sản phẩm khử duy nhất, đo ở điều kiện tiêu chuẩn. Dung dịch Y hòa tan vừa hết 2,08 gam Cu (không tạo thành sản phẩm khử của N+5). Biết các phản ứng đều xảy ra hoàn toàn. Giá trị của m là:
A. 2,40. B. 4,06. C. 3,92. D. 4,20.
Câu 39: Hợp chất X có thành phần gồm C, H, O, chứa vòng benzen. Cho 6,9 gam X vào 360 ml dung dịch NaOH 0,5M (dư 20% so với lượng cần phản ứng) đến phản ứng hoàn toàn, thu được dung dịch Y. Cô cạn Y thu được m gam chất rắn khan. Mặt khác, đốt cháy hoàn toàn 6,9 gam X cần vừa đủ 7,84 lít O2 (đktc), thu được 15,4 gam CO2. Biết X có công thức phân tử trùng với công thức đơn giản nhất. Giá trị của m là:
A. 13,2. B. 11,1. C. 12,3. D. 11,4.
Câu 40: Biết X là axit cacboxylic đơn chức, Y là ancol no, cả hai chất đều mạch hở, có cùng số nguyên tử cacbon. Đốt cháy hoàn toàn 0,4 mol hỗn hợp gồm X và Y (trong đó số mol của X lớn hơn số mol của Y) cần vừa đủ 30,24 lít khí O2, thu được 26,88 lít khí CO2 và 19,8 gam H2O. Biết thể tích các khí đo ở điều kiện tiêu chuẩn. Khối lượng của Y trong 0,4 mol hỗn hợp trên là:
A. 11,4 gam. B. 19,0 gam. C. 9,0 gam. D. 17,7 gam.
II. PHẦN RIÊNG (10 câu)
Thí sinh chỉ được làm một trong hai phần (Phần A hoặc Phần B)
A. Theo chương trình Chuẩn (10 câu, từ câu 41 đến câu 50)
Câu 41: Hỗn hợp X gồm H2, C2H4 và C3H6 có tỉ khối so với H2 là 9,25. Cho 22,4 lít X (đktc) vào bình kín có sẵn một ít bột Ni. Đun nóng bình một thời gian, thu được hỗn hợp khí Y có tỉ khối so với H2 bằng 10. Tổng số mol H2 đã phản ứng là
A. 0,070 mol. B. 0,050 mol. C. 0,015 mol. D. 0,075 mol.
Câu 42: Cho các phát biểu sau:
(a) Trong bảng tuần hoàn các nguyên tố hóa học, crom thuộc chu kì 4, nhóm VIB.
(b) Các oxit của crom đều là oxit bazơ.
(c) Trong các hợp chất, số oxi hóa cao nhất của crom là +6.
(d) Trong các phản ứng hóa học, hợp chất crom(III) chỉ đóng vai trò chất oxi hóa.
(e) Khi phản ứng với khí Cl2 dư, crom tạo ra hợp chất crom(III).
Trong các phát biểu trên, những phát biểu đúng là:
A. (b), (c) và (e). B. (a), (c) và (e). C. (b), (d) và (e). D. (a), (b) và (e).
Câu 43: Dãy các chất đều có khả năng tham gia phản ứng thủy phân trong dung dịch H2SO4 đun nóng là:
A. glucozơ, tinh bột và xenlulozơ. B. saccarozơ, tinh bột và xenlulozơ.
C. glucozơ, saccarozơ và fructozơ. D. fructozơ, saccarozơ và tinh bột.
Câu 44: Cho các cặp oxi hóa - khử được sắp xếp theo thứ tự tăng dần tính oxi hóa của các ion kim loại: Al3+/Al; Fe2+/Fe; Sn2+/Sn; Cu2+/Cu. Tiến hành các thí nghiệm sau:
(a) Cho sắt vào dung dịch đồng(II) sunfat.
(b) Cho đồng vào dung dịch nhôm sunfat.
(c) Cho thiếc vào dung dịch đồng(II) sunfat.
(d) Cho thiếc vào dung dịch sắt(II) sunfat.
Trong các thí nghiệm trên, những thí nghiệm có xảy ra phản ứng là:
A. (a) và (b). B. (b) và (c). C. (a) và (c). D. (b) và (d).
Câu 45: Cho X và Y là hai axit cacboxylic mạch hở, có cùng số nguyên tử cacbon, trong đó X đơn chức, Y hai chức. Chia hỗn hợp gồm X và Y thành hai phần bằng nhau. Phần một tác dụng hết với Na, thu được 4,48 lít khí H2 (đktc). Đốt cháy hoàn toàn phần hai, thu được 13,44 lít khí CO2 (đktc). Phần trăm khối lượng của Y trong hỗn hợp là:
A. 42,86 %. B. 57,14%. C. 85,71%. D. 28,57%.
Câu 46: Cho 25,5 gam hỗn hợp X gồm CuO và Al2O3 tan hoàn toàn trong dung dịch H2SO4 loãng, thu được dung dịch chứa 57,9 gam muối. Phần trăm khối lượng của Al2O3 trong X là
A. 60%. B. 40%. C. 80%. D. 20%.
Câu 47: Trong các dung dịch: CH3–CH2–NH2, H2N–CH2–COOH, H2N–CH2–CH(NH2)–COOH, HOOC–CH2–CH2–CH(NH2)–COOH, số dung dịch làm xanh quỳ tím là
A. 4. B. 3. C. 1. D. 2.
Câu 48: Đốt cháy hoàn toàn hỗn hợp X gồm 0,07 mol một ancol đa chức và 0,03 mol một ancol không no, có một liên kết đôi, mạch hở, thu được 0,23 mol khí CO2 và m gam H2O. Giá trị của m là
A. 2,70. B. 2,34. C. 8,40. D. 5,40.
Câu 49: Thí nghiệm với dung dịch HNO3 thường sinh ra khí độc NO2. Để hạn chế khí NO2 thoát ra từ ống nghiệm, người ta nút ống nghiệm bằng:
(a) bông khô. (b) bông có tẩm nước.
(c) bông có tẩm nước vôi. (d) bông có tẩm giấm ăn.
Trong 4 biện pháp trên, biện pháp có hiệu quả nhất là
A. (d). B. (a). C. (c). D. (b).
Câu 50: Cho phương trình phản ứng aAl + bHNO3 → cAl(NO3)3 + dNO + eH2O.
Tỉ lệ a : b là
A. 1 : 3. B. 2 : 3. C. 2 : 5. D. 1 : 4.
B. Theo chương trình Nâng cao (10 câu, từ câu 51 đến câu 60)
Câu 51: Cho 12 gam hợp kim của bạc vào dung dịch HNO3 loãng (dư), đun nóng đến phản ứng hoàn toàn, thu được dung dịch có 8,5 gam AgNO3. Phần trăm khối lượng của bạc trong mẫu hợp kim là
A. 45%. B. 55%. C. 30%. D. 65%.
Câu 52: Cho các phát biểu sau:
(a) Để xử lí thủy ngân rơi vãi, người ta có thể dùng bột lưu huỳnh.
(b) Khi thoát vào khí quyển, freon phá hủy tầng ozon.
(c) Trong khí quyển, nồng độ CO2 vượt quá tiêu chuẩn cho phép gây ra hiệu ứng nhà kính.
(d) Trong khí quyển, nồng độ NO2 và SO2 vượt quá tiêu chuẩn cho phép gây ra hiện tượng mưa axit.
Trong các phát biểu trên, số phát biểu đúng là
A. 2. B. 1. C. 4. D. 3.
Câu 53: Cho sơ đồ phản ứng
![]()
Chất Y trong sơ đồ trên là
A. Na[Cr(OH)4]. B. Na2Cr2O7. C. Cr(OH)2. D. Cr(OH)3.
Câu 54: Cho 13,6 gam một chất hữu cơ X (có thành phần nguyên tố C, H, O) tác dụng vừa đủ với dung dịch chứa 0,6 mol AgNO3 trong NH3, đun nóng, thu được 43,2 gam Ag. Công thức cấu tạo của X là:
A. CH2=C=CH–CHO. B. CH3–C≡C–CHO.
C. CH≡C–CH2–CHO. D. CH ≡C–[CH2]2–CHO.
Câu 55: Cho các phát biểu sau:
(a) Glucozơ có khả năng tham gia phản ứng tráng bạc.
(b) Sự chuyển hóa tinh bột trong cơ thể người có sinh ra mantozơ.
(c) Mantozơ có khả năng tham gia phản ứng tráng bạc.
(d) Saccarozơ được cấu tạo từ hai gốc β-glucozơ và α-fructozơ.
Trong các phát biểu trên, số phát biểu đúng là
A. 4. B. 2. C. 3. D. 1.
Câu 56: Hỗn hợp X gồm ancol metylic, ancol etylic và glixerol. Đốt cháy hoàn toàn m gam X, thu được 15,68 lít khí CO2 (đktc) và 18 gam H2O. Mặt khác, 80 gam X hòa tan được tối đa 29,4 gam Cu(OH)2. Phần trăm khối lượng của ancol etylic trong X là:
A. 23%. B. 16%. C. 8%. D. 46%.
Câu 57: Cho phương trình phản ứng
aFeSO4 + bK2Cr2O7 + cH2SO4 → dFe2(SO4)3 + eK2SO4 + fCr2(SO4)3 + gH2O.
Tỉ lệ a : b là
A. 6 : 1. B. 2 : 3. C. 3 : 2. D. 1 : 6.
Câu 58: Trường hợp nào sau đây không xảy ra phản ứng:

A. (b). B. (a). C. (d). D. (c).
Câu 59: Peptit X bị thủy phân theo phương trình phản ứng X + 2H2O → 2Y + Z (trong đó Y và Z là các amino axit). Thủy phân hoàn toàn 4,06 gam X thu được m gam Z. Đốt cháy hoàn toàn m gam Z cần vừa đủ 1,68 lít khí O2 (đktc), thu được 2,64 gam CO2; 1,26 gam H2O và 224 ml khí N2 (đktc).
Biết Z có công thức phân tử trùng với công thức đơn giản nhất. Tên gọi của Y là:
A. lysin. B. axit glutamic. C. glyxin. D. alanin.
Câu 60: Trường hợp nào sau đây, kim loại bị ăn mòn điện hóa học?
A. Kim loại sắt trong dung dịch HNO3 loãng. B. Thép cacbon để trong không khí ẩm.
C. Đốt dây sắt trong khí oxi khô. D. Kim loại kẽm trong dung dịch HCl.
HẾT
Đề thi đại học năm 2013 khối A môn Vật Lý
BỘ GIÁO DỤC VÀ ĐÀO TẠOĐỀ THI CHÍNH THỨC |
KỲ THI TUYỂN SINH ĐẠI HỌC NĂM 2013MÔN THI: VẬT LÍ - KHỐI A và KHỐI A1 |
Cho biết: hằng số Plang h = 6,625.10-34. Js; độ lớn điện tích nguyên tố e = 1,6.10-19 C, tốc độ ánh sáng trong chân không c = 3.108 m/s, gia tốc trọng trường g = 10m/s2.
I. PHẦN CHUNG CHO TẤT CẢ CÁC THÍ SINH (40 câu, từ câu 1 đến câu 40)
Câu 1: Đặt điện áp u = Uocosωt (V) (với Uo và ω không đổi) vào hai đầu đoạn mạch gồm cuộn dây không thuần cảm mắc nối tiếp với tụ điện có điện dung C (thay đổi được). Khi C = Co thì cường độ dòng điện trong mạch sớm pha hơn u là φ = (0 < φ1 < π/2) và điện áp hiêu dụng hai đầu cuộn dây là 45V. Khi C = 3C0 thì cường độ dòng điện trong mạch trễ pha hơn u là φ2 = π/2 - φ1 và điện áp hiệu dụng hai đầu cuộn dây là 135V. Giá trị của U0 gần giá trị nào nhất sau đây?
A. 95V B. 75V C.64V. D. 130V
Câu 2: Trong một thí nghiệm Y-âng về giao thoa ánh sáng, bước sóng ánh sáng đơn sắc là 600m, khoảng cách giữa khe hẹp là 1mm, khoảng cách từ mặt phẳng chứa hai khe đến màn quan sát là 2m. Khoảng vân quan sát được trên màn có giá trị bằng:
A. 1,2mm B. 1,5mm C. 0,9mm D. 0,3mm
Câu 3: Trong thí nghiệm Y –âng về giao thoa ánh sáng, nếu thay ánh sáng đơn sắc màu lam bằng ánh sáng đơn sắc màu vàng và giữ nguyên các điều kiện khác thì trên màn quan sát:
A. Khoảng vân không thay đổi B. khoảng vân tăng lên
C. vị trí vân trung tâm thay đổi D. khoảng vân giảm xuống
Câu 4: Sóng điện từ có tần số 10MHz truyền trong chân không với bước sóng là:
A. 60m B. 6m C. 30m D. 3m
Câu 5: Đặt điện áp u = 120√2cosπft (V) (f thay đổi được) vào hai đầu đoạn mạch mắc nối tiếp gồm cuộn cảm thuần có độ tự cảm L, điện trở R và tụ điện có điện dung C, với CR2 < 2L. Khi f = f1 thì điện áp hiệu dụng giữa hai đầu tụ điện đạt cực đại. Khi f = f2 = f1√2 thì điện áp hiệu dụng giữa hai đầu điện trở đạt cực đại. Khi f = f3 thì điện áp hiệu dụng giữa hai đầu cuộn cảm đạt cực đại ULmax. Giá trị của ULmax gần với giá trị nào nhất sau đây?
A. 137V B. 57V C. 145V D. 85V
Câu 6: Một vật dao động điều hòa dọc theo trục Ox với biên độ 5cm, chu kì 2s. Tại thời điểm t = 0, vật đi qua vị trí cân bằng O theo chiều dương. Phương trình dao động của vật là:
Câu 7: Nối hai cực của một máy phát điện xoay chiều một pha vào hai đầu đoạn mạch A, B mắc nối tiếp gồm điện trở 69,1Ω, cuộn cảm thuần có độ tự cảm L và tụ điện có điện dung 176,8μF. Bỏ qua điện trở thuần của các cuộn dây của máy phát. Biết roto máy phát có hai cặp cực. Khi roto quay đều với tốc độ n1 = 1350 vòng/ phút hoặc n2 = 1800 vòng/ phút thì công suất tiêu thụ của đoạn mạch AB là như nhau. Độ tự cảm L có giá trị gần giá trị nào nhất sau đây?
A. 0,8H B. 0,7H C. 0,6H D. 0,2 H
Câu 8: Một vật nhỏ dao động điều hòa theo một quỹ đạo thẳng dài 12 cm. Dao động này có biên độ là:
A. 3 cm. B. 24 cm. C. 6 cm. D. 12 cm.
Câu 9: Một hạt có khối lượng nghỉ mo. Theo thuyết tương đối, khối lượng động (khối lượng tương đối tính) của hạt này khi chuyển động với tốc độ 0,6c (c là tốc độ ánh sang trong chân không) là
A. 1,25mo. B. 0,36mo. C. 1,75mo. D. 0,25mo.
Câu 10: Một con lắc lò xo gồm vật nhỏ có khối lượng 100 g và lò xo có độ cứng 40N/m được đặt trên mặt phẳng ngang không ma sát. Vật nhỏ đang nằm yên ở vị trí căn bằng, tại t = 0, tác dụng lực F = 2N lên vật nhỏ (hình vẽ) cho con lắc dao động điều hòa đến thời điểm t = π/2 s thì ngừng tác dụng lực F. Dao động điều hòa của con lắc sau khi không còn lực F tác dụng có giá trị biên độ gần giá trị nào nhất sau đây?
![]()
A. 9cm. B. 11 cm. C. 5cm. D. 7cm
Câu 11: Đặt điện áp u = 220√2cos100πt (V) vào hai đầu đoạn mạch mắc nối tiếp gồm điện trở R = 100Ω, tụ điện có C = 10-4/2π (F) và cuộn cảm thuần có L = 1/π (H). Biểu thức cường độ dòng điện trong mạch là:
Câu 12: Giả sử một vệ tinh dùng trong truyền thông đang đứng yên so với mặt đất ở độ cao xác định trong mặt phẳng Xích Đạo Trái Đất; đường thẳng nối vệ tinh với tâm Trái Đất đi qua kinh độ số 0. Coi Trái Đất như một quả cầu, bán kính là 6370 km, khối lượng là 6.1024kg và chu kì quay quanh trục của nó là 24 giờ; hằng số hấp dẫn G = 6,67.10-11 N.m2/kg2. Sóng cực ngắn (f > 30MHz) phát từ vệ tinh truyền thẳng đến các điểm nằm trên Xich Đạo Trái Đất trong khoảng kinh độ nào nêu dưới đây?
A. Từ kinh độ 79o20' Đ đến kinh độ 79o20'T.
B. Từ kinh độ 83o20' T đến kinh độ 83o20'Đ.
C. Từ kinh độ 85o20' Đ đến kinh độ 85o20'T.
D. Từ kinh độ 81o20' Đ đến kinh độ 81o20'T.
Câu 13: Một nguồn phát sóng dao động điều hòa tạo ra sóng tròn đồng tâm O trên mặt nước với bước sóng λ. Hai điểm M và N thuộc mặt nước, nằm trên hai phương truyền sóng mà các phần tử nước đang dao động. Biết OM = 8λ, ON = 12λ và OM vuông góc với ON. Trên đoạn MN, số điểm mà phần tử nước dao động ngược pha với dao động của nguồn O là
A. 5. B. 4. C. 6. D. 7.
Câu 14: Gọi M, N, I là các điểm trên một lò xo nhẹ, được treo thẳng đứng ở điểm O cố định. Khi là xo có chiều dài tự nhiên thì OM = MN = NI = 10cm. Gắn vật nhỏ vào đầu dưới I của lò xo và kích thích để vật dao động điều hòa theo phương thẳng đứng. Trong quá trình dao động, tỉ số độ lớn lực kéo lớn nhất và độ lớn lực kéo nhỏ nhất tác dụng lên O bằng 3; lò xo giãn đều; khoảng cách lớn nhất giữa hai điểm M và N là 12 cm. Lấy π2 = 10. Vật dao động với tần số là
A. 2,9 Hz. B. 3,5Hz. C. 1,7 Hz. D. 2,5 Hz.
Câu 15: Hạt nhân có độ hụt khối càng lớn thì có
A. năng lượng liên kết càng nhỏ. B. năng lượng liên kết càng lớn.
C. năng lượng liên kết riêng càng lớn. D. năng lượng liên kết riêng càng nhỏ.
Câu 16: Khi nói về phôtôn, phát biểu nào dưới đây đúng?
A. Năng lượng của phôtôn càng lớn khi bước sóng ánh sang ứng với phôtôn đó càng lớn.
B. Phôtôn có thể tồn tại trong trạng thái đứng yên.
C. Với mỗi ánh sáng đơn sắc có tần số f xác định, các phôtôn đều mang năng lượng như nhau.
D. Năng lượng của phôtôn ánh sáng tím nhỏ hơn năng lượng của phôtôn ánh sáng đỏ.
Câu 17: Trên một sợi dây đàn hồi dài 1m, hai đầu cố định; dang có sóng dừng với 5 nút sóng (kể cả hai đầu dây). Bước sóng của sóng truyền trên dây là
A. 1 m. B. 1,5 m. C. 0,5 m. D. 2 m.
Câu 18. Đặt điện áp u = 220√2cos100πt (V) vào hai đầu đoạn mạch mắc nối tiếp gồm điện trở 20Ω, cuộn cảm thuần có độ tự cảm 0,8/π (F). Khi điện áp tức thời giữa hai đầu điện trở bằng 110√3 (V) thì điện áp tức thời giữa hai đầu cuộn cảm có độ lớn là
A. 330 V. B. 440 V. C. 440√3(V). D. 330√3(V)
Câu 19. Hai mạch dao động điện từ lí tưởng đang có dao động điện từ tự do. Điện tích của tụ điện trong mạch dao động thứ nhất và thứ hai lần lượt là q1 và q2 có: 4q12 + 4q22 = 1,3.10-17, q tính bằng C. Ở thời điểm t, điện tích của tụ điện và cường độ dòng điện trong mạch dao động thứ nhất lần lượt là 10-9C và 6mA, cường độ dòng điện trong mạch dao động thứ hai có độ lớn bằng
A. 4 mA. B. 10 mA. C. 8 mA. D. 6 mA.
Câu 20. Một lò phản ứng phân hạch có công suất 200MW. Cho rằng toàn bộ năng lượng mà lò phản ứng này sinh ra đều do sự phân hạch của 235U và đồng vị này chỉ bị tiêu hao bởi quá trình phân hạch. Coi mỗi năm có 365 ngày, mỗi phân hạch đều sinh ra 200 MeV, số A-vô-ga-dro Na = 6,02.1023 mol-1. Khối lượng 235U mà lò phản ứng tiêu thụ trong 3 năm là
A. 461,6 kg. B. 461,6 g. C. 230,8 kg. D. 230,8 g.
Câu 21. Trong một thí nghiệm về giao thoa sóng nước, hai nguồn sóng kết hợp O1 và O2 dao động cùng pha, cùng biên độ. Chọn hệ tọa độ vuông góc xOy (thuộc mặt nước) với gốc tọa độ là vị trí đặt nguồn O1 còn nguồn O2 nằm trên trục Oy. Hai điểm P và Q nằm trên Ox có OP = 4,5 cm và OQ = 8 cm. Dịch chuyển nguồn O2 trên trục Oy đến vị trí sao cho <PO2Q có giá trị lớn nhất thì phần tử nước tại P không dao động còn phần tử nước tại Q dao động với biên độ cực đại. Biết giữa P và Q không còn cực đại nào khác. Trên đoạn OP, điểm gần P nhất mà các phần tử nước dao động với biên độ cực đại cách P một đoạn là
A. 1,1 cm. B. 3,4 cm. C. 2,5 cm. D. 2,0 cm.
Câu 22. Dùng một hạt α có động năng 7,7 MeV bắn vào một hạt nhân 147N đang đứng yên gây ra phản ứng:
. Hạt proton bay ra theo phương vuông góc với phương bay tới của hạt α. Cho khối lượng hạt nhân: mα = 4,0015u, mp = 1,0073u; mN14 = 13,9992u; mO17 = 16,9947u. Biết 1u = 931,5 MeV/c2. Động năng của hạt nhân 178O là:
A. 2,075 MeV. B. 2,214 MeV. C. 6,145 MeV. D. 1,345 MeV.
Câu 23. Giới hạn quang điện của 1 kim loại là 0,75 μm. Công thoát electron ra khỏi kim loại này bằng:
A. 2,65.10-19J. B. 26,5.10-19J. C. 2,65.10-32J. D. 26,5.10-32J.
Câu 24. Đặt điện áp u = Uocosωt (Uo và ω không đổi) vào hai đầu đoạn mạch mắc nối tiếp gồm điện trở R, tụ điện có điện dung C, cuộn cảm thuần có độ tự cảm L thay đổi được. Khi L = L1 và L = L2, điện áp hiệu dụng ở hai đầu cuộn cảm có cùng giá trị; độ lệch pha của điện áp ở hai đầu đoạn mạch so với cường độ dòng điện lần lượt là 0,52 rad và 1,05 rad. Khi L = L0: điện áp hiệu dụng giữa hai đầu cuộn cảm đạt cực đại; độ lệch pha của điện áp ở hai đầu đoạn mạch so với cường độ dòng điện là φ. Giá trị của φ gần giá trị nào nhất sau đây?
A. 1,57 rad. B. 0,83 rad. C. 0,26 rad. D. 0,41 rad.
Câu 25. Tia nào sau đây không phải là tia phóng xạ?
A. Tia γ. B. Tiaβ+ C. Tia α. D. Tia X.
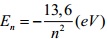
Câu 26. Các mức năng lượng củ các trạng thái dừng của nguyên tử hidro được xác định bằng biểu thức
(n = 1, 2, 3,...). Nếu nguyên tử hidro được xác định bằng biểu thức sóng nhỏ nhất của bức xạ mà nguyên tử hidro đó có thể hấp thụ là:
A. 1,46.10-8m. B. 1,22.10-8m. C. 4,87.10-8m. D. 9,74.10-8m.
Câu 27. Một sóng hình sin đang truyền trên một sợi dây theo chiều dương của trục Ox. Hình vẽ mô tả hình dạng của sợi dây tại thời điểm t1 (đường nét đứt) và t2 = t1 + 0,3 (s) (đường nét liền). Tại thời điểm t2, vận tốc của điểm N trên dây là:
A. 65,4 cm/s. B. -65,4 cm/s. C. -39,3 cm/s. D. 39,3 cm/s

Câu 28: Đặt vào hai đầu cuộn sơ cấp của máy biến áp M1 một điện áp xoay chiều có giá trị hiệu dụng 200V. Khi nối hai đầu cuộn sơ cấp của máy biến áp M2 vào hai đầu cuộn thứu cấp của M1 thì điện áp hiệu dụng ở hai đầu cuộn thứ cấp của M2 để hở bằng 12,5V. Khi nối hai đầu cuộn thứ cấp của M2 với hai đầu cuộn thứ cấp của M1 thì điện áp hiệu dụng ở hai đầu cuộn sơ cấp của M2 để hở bằng 50V. Bỏ qua mọi hao phí M1 có tỉ số giữa vòng dây cuộn sơ cấp và số vòng dây cuộn thứ cấp bằng
A. 6 B. 15. C. 8 D. 4
Câu 29: Một khung dây dẫn phẳng, dẹt hình chữ nhật có diện tích 60cm2, quay đều quanh một trục đối xứng thuộc mặt phẳng của khung trong từ trường đều có vécto cảm ứng từ vuông góc với trục quay và có độ lớn 0,4T. Từ thông cực đại qua khung dây là:
A. 2,4.10-3 Wb B. 1,2.10-3 Wb C. 4,8.10-3Wb D. 0,6.10-3Wb
Câu 30: Điện năng được truyền từ nơi phát đến môt khu dân cư bằng đường dây một pha với hiệu suất truyền tải là 90%. Coi hao phí điện năng chỉ do tỏa nhiệt trên đường dây và không vượt quá 20%. Nếu công suất sử dụng điện của khu dân cư này tăng 20% và giữu nguyên điện áp ở nơi phát thì hiệu suất truyền tải điện năng trên chính đường dây đó là
A. 85,8% B. 87,7% C. 89,2% D. 92,8%
Câu 31: Biết bán kính Bo là r0 = 5,3.10-11m. Bán kính quỹ đạo dừng M trong nguyên tử Hidro bằng:
A. 84,8.10-11m B. 21,2.10-11m C. 132,5.10-11m D. 47,7.10-11m
Câu 32: Hai con lắc đơn có chiều dài lần lượt là 81cm và 64cm được treo ở trần một văn phòng. Khi các vật nhỏ của hai con lắc đang ở vị trí cân bằng, đồng thời truyền cho chúng các vận tốc cùng hướng sao cho hai con lắc dao động điều hòa cùng biến độ góc, trong hai mặt phẳng song song với nhau. Gọi Δt là khoảng thời gian ngắn nhất kể từ lúc truyền vận tốc đến lúc hai dây treo song song nhau. Giá trị Δt gần giá trị nào nhất sau đây?
A. 8,12s B. 2,36 s C. 7,20s D. 0,45s
Câu 33: Một vật nhỏ dao động điều hòa theo phương trình x = Acos4πt (t tính bằng s). Tính từ t = 0, khoảng thời gian ngắn nhất để gia tốc của vật đó có độ lớn bằng một nửa độ lớn gia tốc cực đại là
A. 0,083s B. 0,125s C.0,104s D. 0,167s
Câu 34: Hai dao động điều hòa cùng phương, cùng tần số có biên độ lần lượt là A1 = 8cm; A2 = 15cm và lệch pha nhau π/2. Dao động tổng hợp của hai dao động này có biên độ bằng
A. 7cm B. 11cm C. 17cm D. 23cm
Câu 35: Gọi εD là năng lượng của phôtn ánh sáng đỏ, εL là năng lượng của photon ánh sáng lục, εV là năng lượng của photon ánh sáng vàng. Sắp xếp nào sau đây đúng?
A. εD > εV > εL B. εL > εD > εV C. εV > εL > εD D. εL > εV > εD
Câu 36: Hiện nay urani tự nhiên chứa hai đồng vị phóng xạ 235U và 238U, với tỷ lệ số hạt 235U và số hạt 238U là 7/1000. Biết chu kỳ bán rã của 235U và 238U lần lượt là 7,00.108 năm và 4,50.109 năm. Cách đây bao nhiêu năm, uảni tự nhiên có tỷ lệ số hạt 235U và 238U là 3/100?
A. 2,74 tỉ năm. B. 2,22 tỉ năm. C. 1,74 tỉ năm. D. 3,15 tỉ năm.
Câu 37: Trên một đường thẳng cố định trong môi trường đẳng hướng, không hấp thụ và phản xạ âm, một máy thu ở cách nguồn âm một khoảng d thu được âm có mức cường độ âm là L; khi dịch chuyển máy thu ra xa nguồn âm thêm 9 m thì mức cường độ âm thu được là L – 20 (dB). Khoảng cách d là
A. 8 m. B. 1 m. C. 9 m. D. 10 m.
Câu 38: Trong chân không, ánh sáng có bước sóng lớn nhất trong số các ánh sáng đơn sắc: đỏ, vàng, lam, tím là
A. ánh sáng tím. B. ánh sáng đỏ. C. ánh sáng vàng. D. ánh sáng lam.
Câu 39: Đoạn mạch nối tiếp gồm cuộn cảm thuần, đoạn mạch X và tụ điện (hình vẽ). Khi đặt vào hai đầu A, B điện áp uAB = Uocos(ωt + φ) (V) (Uo, ω và φ không đổi) thì: LCω2 = 1; UAN = 25√2 và UMB = 50√2V, đồng thời uAN sớm pha π/3 so với uMB. Giá trị của Uo là:
A. 25√14V B. 25√7V C.12,5√14V D. 15√7V
![]()
Câu 40: Một vật nhỏ khối lượng 100 g dao động điều hòa với chu kì 0,2 s và cơ năng là 0,18 J (mốc thế năng tại vị trí cân bằng); lấy π2 = 10. Tại li độ 3√2 cm, tỉ số động năng và thế năng là
A. 3. B. 4. C. 2. D. 1.
II. PHẦN RIÊNG
Thí sinh chỉ được làm một trong hai phần (Phần A hoặc Phần B)
A. Theo chương trình Chuẩn (10 câu, từ câu 41 đến câu 50)
Câu 41: Khi nói về phổ quang phát xạ, phát biểu nào sau đây sai?
A. Quang phổ vạch phát xạ của một nguyên tố là một hệ thống những vạch phát sáng riêng lẻ, ngăn cách nhau bởi những khoảng tối.
B. Quang phổ vạch phát xạ do chất rắn hoặc chất lỏng phát ra khi bị nung nóng.
C. Trong quang phổ vạch phát xạ của nguyên tử hiđro, ở vùng ánh sáng nhìn thấy có bốn vạch đặc trưng là vạch đỏ, vạch lam, vạch chàm và vạch tím.
D. Quang phổ vạch phát xạ của nguyên tố hóa học khác nhau thì khác nhau.
Câu 42: Một mạch LC lí tưởng đang thực hiện dao động điện từ tự do. Biết điện tích cực đại của tụ điện là q0 và cường độ dòng điện cực đại trong mạch là I0. Tại thời điểm cường độ dòng điện trong mạch bằng 0,5I0 thì điện tích của tụ điện có độ lớn là:![]()
Câu 43: Cho khối lượng của hạt proton, notron và hạt nhân doteri 21D lần lượt là 1,0073u; 1,0087u và 2,0136u. Biết 1u=931,5 MeV/c2. Năng lượng liên kết của hạt nhân 21D là
A. 2,24 MeV. B. 4,48 MeV.
C. 1,12 MeV. D. 3,06 MeV.
Câu 44: Một vật nhỏ dao động điều hòa với biên độ 4 cm và chu kì 2s. Quãng đường vật đi được trong 4s là
A. 8 cm. B. 16 cm.
C. 64 cm. D. 32 cm.
Câu 45: Một con lắc đơn có chiều dài 121 cm, dao động điều hòa tại nơi có gia tốc trọng trường g. Lấy π2 = 10. Chu kì dao động của con lắc là
A. 1s. B. 0,5 s. C. 2,2 s. D. 2s.
Câu 46: Giả sử một nguồn sáng chỉ phát ra ánh sáng đơn sắc có tần số 7,5.104Hz. Công suất phát xạ của nguồn là 10W. Số photon mà nguồn sáng phát ra trong một giây xấp xỉ bằng
A. 0,33.1020. B. 2,01.1019. C. 0,33.1019. D. 2,01.1020
Câu 47. Đặt điện áp u = U0cos(100πt - π/12) (V) vào hai đầu đoạn mạch mắc nối tiếp gồm điện trở, cuộn cảm và tụ điện thì cường độ dòng điện qua mạch là i = I0cos(100πt - π/12) (A). Hệ số công suất của đoạn mạch bằng
A. 1,00. B. 0,87. C. 0,71. D. 0,50.
Câu 48: Thực hiện thí nghiệm Y-âng về giao thoa với ánh sáng đơn sắc có bước sóng λ. Khoảng cách giữa hai khe hẹp là 1 mm. Trên màn quan sát, tại điểm M, cách vân trung tâm 4,2 mm có vân sáng bậc 5. Giữ cố định các điều kiện khác, di chuyển dần màn quan sát dọc theo đường thẳng vuông góc với mặt phẳng chứa hai khe ra xa cho đến khi vân giao thoa tại M chuyển thành vân tối lần thứ hai thì khoảng dịch màn là 0,6m. Bước sóng λ bằng
A. 0,6 μm. B. 0,5 μm. C. 0,4 μm. D. 0,7 μm.
Câu 49. Trong một thí nghiệm về giao thoa sóng nước, hai nguồn sóng kết hợp dao động cùng pha đặt tại hai điểm A và B cách nhau 16 cm. Sóng truyền trên mặt nước với bước sóng 3 cm. Trên đoạn AB, số điểm mà tại đó phần tử nước dao động với biên độ cực đại là
A. 10. B. 11. C. 12. D. 9.
Câu 50. Đặt điện áp xoay chiều u = U√2cosωt (V) vào hai đầu một điện trở thuần R = 110Ω thì cường độ dòng điện qua điện trở có giá trị hiệu dụng bằng 2 A. Giá trị U bằng.
A. 220V. B. 220√2V. C. 110V. D. 110√2V
B. Theo chương trình Nâng cao (10 câu, từ câu 51 đến câu 60)
Câu 51: Một vật rắn quay quanh một trục ∆ cố định với tốc độ góc 30 rad/s. Momen quán tính của vật rắn của vật rắn đối với trục ∆ là 6kg.m2. Momen động lượng của vật rắn đối với trục ∆ là:
A. 20 kg.m2/s. B. 180 kg.m2/s. C. 500 kg.m2/s. D. 27000 kg.m2/s.
Câu 52: Electron là hạt sơ cấp thuộc loại
A. mêzôn. B. leptôn. C. nuclôn. D. hipêron.
Câu 53: Trên một đường ray thẳng có một nguồn âm S đứng yên phát ra âm với tần số f và một máy thu M chuyển động ra xa S so với tốc độ u. Biết tốc độ truyền tâm là v (v > u). Tần số của âm mà máy thu nhận được là:![]()
Câu 54: Một con lắc lò xo có khối lượng vật nhỏ là m1 = 300g dao động điều hòa với chu kì 1s. Nếu thay vật nhỏ có khối lượng m1 bằng vật nhỏ có khối lượng m2 thì con lắc dao động với chu kì 0,5s. Giá trị m2 bằng
A. 100g. B. 150g. C. 25g. D. 75g.
Câu 55: Đặt một điện áp xoay chiều có giá trị hiệu dụng không đổi và tần số f thay đổi được vào hai đầu một cuộn cảm thuần, Khi f = 50Hz thì cường độ dòng điện qua cuộn cảm có giá trị hiệu dụng bằng 3A. Khi f = 60Hz thì cường độ dòng điện qua cuộn cảm có giá trị hiệu dụng bằng
A. 3,6 A. B. 2,5 A. C. 4,5 A. D. 2,0 A.
Câu 56: Mạch dao động LC lí tưởng đang hoạt động, điện tích cực đại của tụ điện là qo = 10-6C và cường độ dòng điện cực đại trong đoạn mạch là Io = 3π mA. Tính từ thời điểm điện tích trên tụ là qo, khoảng thời gian ngắn nhất để cường độ dòng điện trong mạch có độ lớn bằng Io là:![]()
Câu 57: Ban đầu một mẫu chất phóng xạ nguyên chất có No hạt nhân. Biết chu kỳ bán rã của chất phóng xạ này là T. Sau thời gian 4T, kể từ thời điểm ban đầu, số hạt nhân chưa phân rã của mẫu chất phóng xạ này là:![]()
Câu 58: Hai quả cầu nhỏ khối lượng lần lượt là 2,4 kg và 0,6 kg gắn ở hai đầu một thanh cứng và nhẹ. Momen quán tính của hệ đối với trục quay đi qua trung điểm của thanh và vuông góc với thanh là 0,12kg.m2. Chiều dài của thanh là
A. 0,4 m. B. 0,6 m. C. 0,8 m. D. 0,3 m.
Câu 59: Một bánh xe đang quay đều quanh trục ∆ cố định với động năng là 225 J. Biết momen quán tính của bánh xe đối với trục ∆ là 2 kg.m2. Tốc độ góc của bánh xe là
A. 56,5 rad/s. B. 30 rad/s. C. 15 rad/s. D. 112,5 rad/s.
Câu 60: Một đĩa tròn, phẳng, đồng chất có momen quán tính 8 kg.m2 đối với trục ∆ cố định đi qua tâm đĩa và vuông góc với bề mặt đĩa. Đĩa quay quanh ∆ với gia tốc góc bằng 3 rad/s2. Momen lực tác dụng lên đĩa đối với trục ∆ có độ lớn là
A. 24 N.m. B. 8/3N.m. C. 12 N.m. D.3/8N.
Đề thi đại học năm 2013 khối A môn Toán
BỘ GIÁO DỤC VÀ ĐÀO TẠOĐỀ THI CHÍNH THỨC |
KỲ THI TUYỂN SINH ĐẠI HỌC NĂM 2013MÔN THI: TOÁN - KHỐI A |
I. PHẦN CHUNG CHO TẤT CẢ THÍ SINH (7,0 điểm)
Câu 1: (2,0 điểm)
Cho hàm số y = - x3 + 3x2 + 3mx - 1 (1), với m là tham số thực.
a. Khảo sát sự biến thiên và vẽ đồ thị của hàm số (1) khi m = 0
b. Tìm m để hàm số (1) nghịch biến trên khoảng (0; +∞)
Câu 2: (1,0 điểm)
Giải phương trình: ![]()
Câu 3: (1,0 điểm)
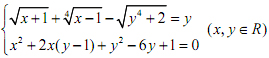
Giải hệ phương trình: 
Câu 4: (1,0 điểm)
Tính tích phân: ![]()
Câu 5: (1,0 điểm).
Cho hình chóp S.ABC có đáy là tam giác vuông tại A, góc ABC = 30o, SBC là tam giác đều cạnh a và mặt bên SBC vuông góc với đáy. Tính theo a thể tích của khối chóp S.ABC và khoảng cách từ điểm C đến mặt phẳng (SAB)
Câu 6: (1,0 điểm)
Cho các số thực dương a, b, c thỏa mãn điều kiện (a + c)(b + c) = 4c2. Tìm giá trị nhỏ nhất của biểu thức:
II. PHẦN RIÊNG (3,0 điểm): Thí sinh chỉ được làm một trong hai phần (Phần A hoặc phần B)
A. Theo chương trình Chuẩn
Câu 7.a (1,0 điểm)
Trong mặt phẳng với hệ tọa độ Oxy, cho hình chữ nhật ABCD có điểm C thuộc đường thẳng d: 2x + y + 5 = 0 và A(-4; 8). Gọi M là điểm đối xứng của B qua C. N là hình chiếu vuông góc của B trên đường thẳng MD. Tìm tọa độ các điểm B và C, biết rằng N(5; -4)
Câu 8.a (1,0 điểm)
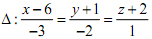
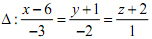
Trong không gian với hệ tọa độ Oxyz, cho đường thẳng
và điểm A(1; 7; 3). Viết phương trình mặt phẳng (P) đi qua A và vuông góc với Δ. Tìm tọa độ điểm M thuộc Δ sao cho AM = 2√30.
Câu 9.a (1,0 điểm)
Gọi S là tập hợp tất cả các số tự nhiên gồm ba chữ số phân biệt được chọn từ các chữ số 1; 2; 3; 4; 5; 6; 7. Xác định số phân tử của S. Chọn ngẫu nhiên một số từ S, tính xác suất để số được chọn là số chẵn.
B. Theo chương trình Nâng cao
Câu 7.b (1,0 điểm)
Trong mặt phẳng với hệ tọa độ Oxy, cho đường thẳng Δ: x - y = 0. Đường tròn (C) có bán kính R = √10 cắt tại hai điểm A và B sao cho AB = 4√2. Tiếp tuyến của (C) tại A và B cắt nhau tại một điểm thuộc tia Oy. Viết phương trình đường tròn (C).
Câu 8.b (1,0 điểm)
Trong không gian với hệ tọa độ Oxyz, cho mặt phẳng (P): 2x + 3y + z - 11 = 0 và mặt cầu (S): x2 + y2 + z2 - 2x + 4y - 2z - 8 = 0. Chứng minh (P) tiếp xúc với (S). Tìm tọa độ tiếp điểm của (P) và (S).
Câu 9.b (1,0 điểm)
Cho số phức z = 1 + √3i. Viết dạng lượng giác của z. Tìm phần thực và phần ảo của số phức ω = (1 + i)z5