Đề thi - Đáp án thi tuyển sinh lớp 10 THPT chuyên Nguyễn Trãi, Hải Dương năm 2014 - 2015
VnDoc.com xin giới thiệu tới bạn đọc "Đề thi - Đáp án kỳ thi thi tuyển sinh lớp 10 THPT chuyên Nguyễn Trãi, tỉnh Hải Dương năm học 2014 - 2015" gồm các môn: Toán, Ngữ văn (không chuyên). Chỉ cần làm hết tất cả các bài tập trong bộ đề này, bạn đọc sẽ được củng cố lại kiến thức, có thể vững tin bước vào kỳ thi tuyển sinh sắp tới.
Đề thi tuyển sinh lớp 10 THPT chuyên Nguyễn Trãi môn Toán:
|
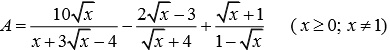
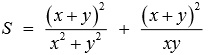
Câu I ( 2,0 điểm) 1) Giải phương trình: 2) Rút gọn biểu thức: Câu II ( 2,0 điểm) Cho Parabol (P): y = x2 và đường thẳng (d): y = (m - 1)x + m - 4 (tham số m) 1) Với m = 2, tìm tọa độ giao điểm của (P) và (d). 2) Tìm m để (d) cắt (P) tại hai điểm nằm về hai phía của trục tung. Câu III ( 2,0 điểm) 1) Cho hệ phương trình: Tìm m để hệ đã cho có nghiệm (x; y) thỏa mãn x2 – y2 đạt giá trị lớn nhất. 2) Một ô tô dự định đi từ A đến B dài 80 km với vận tốc dự định. Thực tế trên nửa quãng đường đầu ô tô đi với vận tốc nhỏ hơn vận tốc dự định là 6 km/h. Trong nửa quãng đường còn lại ô tô đi với vận tốc nhanh hơn vận tốc dự định là 12 km/h. Biết rằng ô tô đến B đúng thời gian đã định. Tìm vận tốc dự định của ô tô. Câu IV ( 3,0 điểm) Cho tam giác ABC nhọn, các đường cao AM, BN, CP của tam giác ABC cắt nhau tại H. Dựng hình bình hành BHCD. 1) Chứng minh: Các tứ giác APHN, ABDC là các tứ giác nội tiếp. 2) Gọi E là giao điểm của AD và BN. Chứng minh: AB.AH = AE.AC 3) Giả sử các điểm B và C cố định, A thay đổi sao cho tam giác ABC nhọn và góc BAC không đổi. Chứng minh rằng đường tròn ngoại tiếp tứ giác APHN có diện tích không đổi. Câu V ( 1,0 điểm) Cho x; y là hai số dương thay đổi. Tìm giá trị nhỏ nhất của biểu thức:
|

(tham số m)