Đề thi - Đáp án thi tuyển sinh lớp 10 THPT tỉnh Cà Mau năm 2014 - 2015
VnDoc.com xin giới thiệu tới bạn đọc "Đề thi - Đáp án kỳ thi thi tuyển sinh lớp 10 THPT tỉnh Cà Mau năm học 2014 - 2015" gồm các môn: Toán, Ngữ văn.
Đề thi tuyển sinh lớp 10 THPT tỉnh Cà Mau môn Toán:
|
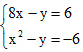
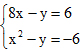
Bài 1: (1,5 điểm) a) Giải phương trình: 6x2 – 5x – 6 = 0 b) Tìm tham số m để phương trình: x2 +2(m + 1)x + 2m2 + 2m + 1 = 0 vô nghiệm Bài 2: (1,5 điểm) a) Tính giá trị của biểu thức: a) Giải hệ phương trình: b) Vẽ đồ thị của 2 hàm số: y = x2 và y = 5x – 6 trên cùng hệ trục tọa độ Oxy và tìm tọa độ giao điểm của hai đồ thị trên. Bài 4: (2,0 điểm) Một hình chữ nhật có chiều dài gấp 3 lần chiều rộng. Nếu cả chiều dài và chiều rộng cùng tăng thêm 5cm thì dược một hình chữ nhật mới có diện tích bằng 153cm2. Tìm chiều dài và chiều rộng của hình chữ nhật ban đầu. Bài 5: (3,0 điểm) Cho tam giác ABC có 3 góc nhọn, nội tiếp trong đường tròn (O). Các đường cao BF, CK của tam giác ABC lần lượt cắt (O) tại D, E. a) Chứng minh: Tứ giác BCFK là tứ giác nội tiếp. b) Chứng minh: DE // FK. c) Gọi P, Q lần lượt là điểm đối xứng với B, C qua O. Chứng minh đường tròn ngoại tiếp tam giác AFK có bán kính không đổi khi A thay đổi trên cung nhỏ PQ (không trùng với các điểm P, Q) |
