Đề thi - Đáp án thi tuyển sinh lớp 10 THPT tỉnh Đăk Lăk năm 2014 - 2015
VnDoc.com xin giới thiệu tới bạn đọc "Đề thi - Đáp án kỳ thi thi tuyển sinh lớp 10 THPT tỉnh Đăk Lăk năm học 2014 - 2015" gồm các môn: Toán, Ngữ văn. Đề thi trên sẽ là bước thử sức mình cho bạn để dự thi vào trường cấp 3 mà bạn mong muốn.
Đề thi tuyển sinh lớp 10 THPT tỉnh Đăk Lăk môn Toán:
|
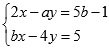
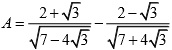
Câu 1: (1,5 điểm) 1) Giải phương trình: x2 – 3x + 2 = 0 2) Cho hệ phương trình: Câu 2: (2 điểm) Cho phương trình: x2 – 2(m + 1)x + m2 + 3m + 2 = 0 (1). (m là tham số) 1) Tìm các giá trị của m để phương trình (1) có hai nghiệm phân biệt. 2) Tìm các giá trị của m để phương trình (1) có hai nghiệm phân biệt x1, x2 thõa mãn: x12 + x22 = 12. Câu 3: (2 điểm) 1) Rút gọn biểu thức: 2) Viết phương trình đường thẳng đi qua điểm A(0; 1) và song song với đường thẳng d: x + y = 10. Câu 4: (3,5 điểm) Cho tam giác đều ABC có đường cao AH, lấy điểm M tùy ý thuộc đoạn HC (M không trùng với H, C). Hình chiếu vuông góc của M lên các cạnh AB, AC lần lượt là P và Q. 1) Chứng minh rằng APMQ là tứ giác nội tiếp và xác định tâm O của đường tròn ngoại tiếp tứ giác APMQ. 2) Chứng minh rằng: BP.BA = BH.BM 3) Chứng minh rằng: OH vuông góc PQ. 4) Chứng minh rằng khi M thay đổi trên HC thì MP + MQ không đổi. Câu 5: (1 điểm) Tìm giá trị nhỏ nhất của biểu thức: |
