Giao diện mới của VnDoc Pro: Dễ sử dụng hơn - chỉ tập trung vào lớp bạn quan tâm. Vui lòng chọn lớp mà bạn quan tâm: Lưu và trải nghiệm
Đóng
Điểm danh hàng ngày
  • Hôm nay +3
  • Ngày 2 +3
  • Ngày 3 +3
  • Ngày 4 +3
  • Ngày 5 +3
  • Ngày 6 +3
  • Ngày 7 +5
Bạn đã điểm danh Hôm nay và nhận 3 điểm!
Nhắn tin Zalo VNDOC để nhận tư vấn mua gói Thành viên hoặc tải tài liệu Hotline hỗ trợ: 0936 120 169

Đề thi - Đáp án thi tuyển sinh lớp 10 THPT tỉnh Lạng Sơn năm 2014 - 2015

Lớp: Lớp 10
Loại File: PDF
Phân loại: Tài liệu Tính phí

VnDoc.com xin giới thiệu tới bạn đọc "Đề thi - Đáp án kỳ thi thi tuyển sinh lớp 10 THPT tỉnh Lạng Sơn năm học 2014 - 2015" gồm các môn: Toán, Ngữ văn.

Đề thi tuyển sinh lớp 10 THPT tỉnh Lạng Sơn môn Toán:

Câu I (2 điểm).

1. Tính giá trị biểu thức:

Đề thi vào lớp 10 THPT tỉnh Lạng Sơn năm 2014

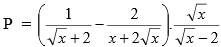
2. Rút gọn biểu thức Đề thi vào lớp 10 THPT tỉnh Lạng Sơn năm 2014 với x > 0; x # 4

Câu II (2 điểm).

Vẽ đồ thị hàm số: y = 2x2 và y = x + 1 trên cùng một mặt phẳng tọa độ. Xác định tọa độ giao điểm của hai đồ thị

Câu III ( 2 điểm).

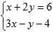
a. Giải hệ phương trình: Đề thi vào lớp 10 THPT tỉnh Lạng Sơn năm 2014

b. Tìm m để phương trình x2 - 2x - m + 3 = 0 có 2 nghiệm phân biệt x1; x2 thỏa mãn x12 + x22 = 20.

Câu IV (4 điểm).

Cho tam giác ABC nhọn. Đường tròn (O) đường kính BC cắt AB; AC lần lượt tại M và N. Gọi H là giao điểm của BN và CM , K là giao điểm của BN và CM, K là trung điểm của AH

a. Chứng minh rằng tứ giác AMHN nội tiếp đường tròn

b. Chứng minh AM.AB = AN.AC

c. Chứng minh KN là tiếp tuyến của đường tròn (O)

Câu V (1 điểm).

Cho x và y là hai số thực dương thỏa mãn x + 2y ≤ 3.

Tìm giá trị lớn nhất của biểu thức: Đề thi vào lớp 10 THPT tỉnh Lạng Sơn năm 2014

Tải thêm: Đề thi tuyển sinh lớp 10 THPT tỉnh Lạng Sơn môn Văn

Chọn file muốn tải về:
Đóng Chỉ thành viên VnDoc PRO/PROPLUS tải được nội dung này!
Đóng
79.000 / tháng
Đặc quyền các gói Thành viên
PRO
Phổ biến nhất
PRO+
Tải tài liệu Cao cấp 1 Lớp
30 lượt tải tài liệu
Xem nội dung bài viết
Trải nghiệm Không quảng cáo
Làm bài trắc nghiệm không giới hạn
Mua cả năm Tiết kiệm tới 48%
7

Có thể bạn quan tâm

Xác thực tài khoản!

Theo Nghị định 147/2024/ND-CP, bạn cần xác thực tài khoản trước khi sử dụng tính năng này. Chúng tôi sẽ gửi mã xác thực qua SMS hoặc Zalo tới số điện thoại mà bạn nhập dưới đây:

Số điện thoại chưa đúng định dạng!
Số điện thoại này đã được xác thực!
Bạn có thể dùng Sđt này đăng nhập tại đây!
Lỗi gửi SMS, liên hệ Admin
Sắp xếp theo
🖼️

Lớp 10

Xem thêm
🖼️

Gợi ý cho bạn

Xem thêm