Đề thi - Đáp án thi tuyển sinh lớp 10 THPT tỉnh Long An năm 2014 - 2015
Để chuẩn bị cho kỳ thi hết học kỳ I năm học 2014 - 2015, VnDoc.com xin giới thiệu tới bạn đọc "Đề thi - Đáp án kỳ thi thi tuyển sinh lớp 10 THPT tỉnh Long An năm học 2014 - 2015" gồm các môn: Toán, Ngữ văn, giúp các em chuẩn bị thật tốt kiến thức đề làm bài thi đạt hiệu quả cao cũng như củng cố lại các chương trình đã học.
Đề thi tuyển sinh lớp 10 THPT tỉnh Long An môn Toán:
|
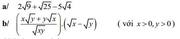
Câu 1: (2 điểm) Bài 1: Rút gọn các biểu thức sau:
Bài 2: Giải phương trình:
Câu 2: (2 điểm) Cho các hàm số (P): y = 2x và (d): y = - x + 3. a/ Vẽ đồ thị của hai hàm số trên cùng mặt phẳng tọa độ Oxy. b/ Tìm tọa độ giao điểm của hai đồ thị trên. Câu 3: (2 điểm) c/ Cho phương trình ẩn x: x2 +2mx + m2 - m + 1 = 0 (với m là tham số) Tìm m để phương trình trên có nghiệm kép.Tính nghiệm kép đó với m vừa tìm được. Câu 4: (4 điểm) Bài 1: Cho tam giác ABC vuông tại A có AB = 3 cm, BC = 5 cm, AH là chiều cao của tam giác ABC. Tính độ dài AC và AH. Bài 2 : Cho tam giác nhọn ABC nội tiếp đường tròn (O;R). Ba đường cao AE, BF, CG cắt nhau tại H (với E a/ Chứng minh các tứ giác AFHG và BGFC là các tứ giác nội tiếp. b/ Gọi I và M lần lượt là tâm các đường tròn ngoại tiếp của các tứ giác AFHG và BGFC. Chứng minh MG là tiếp tuyến của đường tròn tâm I . c/ Gọi D là giao điểm thứ hai của AE với đường tròn tâm O. Chứng minh: EA2 + EB2 + EC2 + ED2 = 4R2 |

