Giao diện mới của VnDoc Pro: Dễ sử dụng hơn - chỉ tập trung vào lớp bạn quan tâm. Vui lòng chọn lớp mà bạn quan tâm: Lưu và trải nghiệm
Đóng
Điểm danh hàng ngày
  • Hôm nay +3
  • Ngày 2 +3
  • Ngày 3 +3
  • Ngày 4 +3
  • Ngày 5 +3
  • Ngày 6 +3
  • Ngày 7 +5
Bạn đã điểm danh Hôm nay và nhận 3 điểm!
Nhắn tin Zalo VNDOC để nhận tư vấn mua gói Thành viên hoặc tải tài liệu Hotline hỗ trợ: 0936 120 169

Đề thi - Đáp án thi tuyển sinh lớp 10 THPT tỉnh Nghệ An năm 2014 - 2015

Lớp: Lớp 10
Loại File: PDF
Phân loại: Tài liệu Tính phí

VnDoc.com xin giới thiệu tới bạn đọc "Đề thi - Đáp án kỳ thi thi tuyển sinh lớp 10 THPT tỉnh Nghệ An năm học 2014 - 2015" gồm các môn: Toán.

Đề thi tuyển sinh lớp 10 THPT tỉnh Nghệ An môn Toán:

Câu 1. (2,5 điểm)

Cho biểu thức: Đề thi tuyển sinh lớp 10 THPT tỉnh Nghệ An môn Toán

a) Tìm điều kiện xác định và rút biểu thức A

b) Tìm tất cả các giá trị của x để A < 0.

Câu 2. (1,5 điểm)

Một ô tô và một xe máy ở hai địa điểm A và B cách nhau 180 km, khởi hành cùng một lúc đi ngược chiều nhau và gặp nhau sau 2 giờ. Biết vận tốc của ô tô lớn hơn vận tốc của xe máy 10 km/h. Tính vận tốc của mỗi xe.

Câu 3. (2,0 điểm)
Cho phương trình x2 + 2(m + 1)x - 2m4 + m2 = 0 (m là tham số)

a) Giải phương trình khi m = 1.

b) Chứng minh rằng phương trình luôn có hai nghiệm phân biệt với mọi m.

Câu 4. (3,0 điểm)

Cho điểm A nằm bên ngoài đường tròn (O). Từ A kẻ hai tiếp tuyến AB, AC với đường tròn đó (B, C là các tiếp điểm). Gọi M là trung điểm của AB. Đường thẳng MC cắt đường tròn (O) tại N (N khác C).

a) Chứng minh ABOC là tứ giác nội tiếp

b) Chứng minh: MB2 = MN.MC

c) Tia AN cắt đường tròn (O) tại D (D khác N). Chứng minh: góc MAN = ADC

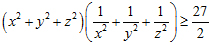
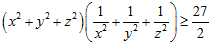
Câu 5. (1,0 điểm)

Cho ba số thực dương x, y, z thỏa mãn x + y ≤ z. Chứng minh rằng:

Đề thi tuyển sinh lớp 10 THPT tỉnh Nghệ An môn Toán

Chọn file muốn tải về:
Đóng Chỉ thành viên VnDoc PRO/PROPLUS tải được nội dung này!
Đóng
79.000 / tháng
Đặc quyền các gói Thành viên
PRO
Phổ biến nhất
PRO+
Tải tài liệu Cao cấp 1 Lớp
30 lượt tải tài liệu
Xem nội dung bài viết
Trải nghiệm Không quảng cáo
Làm bài trắc nghiệm không giới hạn
Mua cả năm Tiết kiệm tới 48%
41

Có thể bạn quan tâm

Xác thực tài khoản!

Theo Nghị định 147/2024/ND-CP, bạn cần xác thực tài khoản trước khi sử dụng tính năng này. Chúng tôi sẽ gửi mã xác thực qua SMS hoặc Zalo tới số điện thoại mà bạn nhập dưới đây:

Số điện thoại chưa đúng định dạng!
Số điện thoại này đã được xác thực!
Bạn có thể dùng Sđt này đăng nhập tại đây!
Lỗi gửi SMS, liên hệ Admin
Sắp xếp theo
🖼️

Lớp 10

Xem thêm
🖼️

Gợi ý cho bạn

Xem thêm