Đề thi Giải tích B1 trường Đại học Khoa học Tự nhiên (ĐHQG Thành phố Hồ Chí Minh) năm học 2016 - 2017
Đề thi Giải tích B1
Đề thi Giải tích B1 trường Đại học Khoa học Tự nhiên (ĐHQG Thành phố Hồ Chí Minh) năm học 2016 - 2017 được VnDoc.com sưu tầm và đăng tải, hi vọng sẽ giúp các bạn ôn tập thi hết học phần môn Giải tích B1 hiệu quả.
ĐẠI HỌC QUỐC GIA THÀNH PHỐ HỒ CHÍ MINH
TRƯỜNG ĐH KHOA HỌC TỰ NHIÊN
KÌ THI KẾT THÚC HỌC PHẦN HỌC KÌ II
Năm học: 2016 - 2017
Môn thi: GIẢI TÍCH B1
Thời gian làm bài: 90 phút
Câu 1: (4,0 điểm)
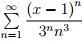
1) Khảo sát sự hội tụ của các chuỗi số sau:

2) Tìm miền hội tụ của chuỗi lũy thừa sau: ![]()
Câu 2: (2,5 điểm)
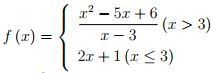
a) Xét tính liên tục của hàm số sau trên tập xác định của nó: 
b) Viết phương trình tiếp tuyến của đường cong y = 3x2 − x3 tại điểm (1; 2)
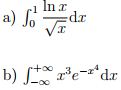
Câu 3: (2,0 điểm) Các tích phân sau có hội tụ không? Nếu có hãy tính giá trị của nó:

Câu 4: (1,5 điểm) Một chiếc thuyền được kéo vào một bến tàu bằng một sợi dây có một đầu gắn vào mũi thuyền và đầu kia gắn vào một ròng rọc trên bến tàu (rồng rọc được đặt cao hơn 1 m so với mũi thuyền). Nếu sợi dây được kéo vào với tộc độ 1 m/s thì thuyền tiến gần đến bến tàu nhanh như thế nào khi thuyền cách bến tàu 8 m?
——HẾT——