Đề thi giải toán trên máy tính cầm tay cấp THPT tỉnh Quảng Ngãi năm 2013 - 2014
SỞ GIÁO DỤC VÀ ĐÀO TẠO
|
KÌ THI GIẢI TOÁN TRÊN MÁY TÍNH CASIO CẤP THPT
|
ĐỀ THI MÔN: TOÁN
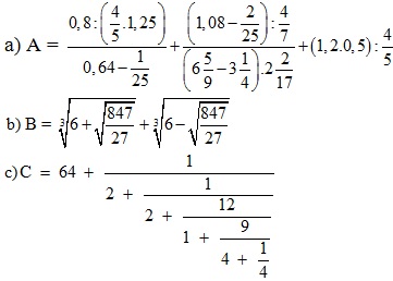
Bài 1: (10 điểm)
Tính giá trị của các biểu thức sau:
d) D = (tg25o15' - tg15o27')(cotg35o25' - cotg278o15')
e) Biết: cosA = 0,8516; tgB = 3,1725; sinC = 0,4351.
Tính: E = cotg(A + B – C)?
Bài 2: (5 điểm)
Cho đa thức: P (x) = x3 + bx2 + cx + d và cho biết: P(1) = -15; P(2) = -15; P( 3) = -9.
a) Lập hệ phương trình tìm các hệ số b, c, d của P(x).
b) Tìm số dư r và đa thức thương Q(x) trong phép chia P (x) cho (x - 13).
c) Kiểm tra số 2000093 có phải là số nguyên tố không?
Câu 3: (5 điểm) Cho dãy số a1; a2; a3;....![]()
a) Tính tổng 5 số đầu tiên của dãy trên, biết a2013 = 7 (Lấy kết quả với 5 chữ số thập phân)
b) Nêu cách giải?
Bài 4: (5 điểm)
Cho tam giác ABC có AB = 8,91cm; AC = 10,32cm và góc BAC = 72o. (Tính chính xác đến 3 chữ số thập phân).
a) Độ dài đường cao BH.
b) Diện tích tam giác ABC.
c) Độ dài cạnh BC.
Bài 5: (5 điểm)
Cho hình thang vuông ABCD (BC // AD; góc B = C = 90o) có AB = 12,35cm ; BC = 10,55cm; góc ADC = 57o.
a) Tính chu vi của hình thang ABCD.
b) Tính diện tích của hình thang ABCD.
c) Tính các góc của tam giác ADC.
(Làm tròn đến độ)
Bài 6: (5 điểm)
a) Cho đa thức: F(x) = x5 + 2x4 – 3x3 + 4x2 – 5x + m – 2008. Tìm giá trị của m để phương trình F(x) = 0 có một nghiệm là x = -1,31208.
b) Cho tam giác ABC vuông tại A, biết AC = 3AB. Trên cạnh AC lấy điểm D sao cho DC = AB. Tính tổng số đo góc ACB + ADB?
Bài 7: (10 điểm)
a) Cho a, b, c > 0. Chứng minh: ![]()
b) Chứng tỏ với mọi a, b ≥ 0 thì: (a.x + b.y).(b.x + a.y) ≥ (a + b)2.xy
Bài 8: (5 điểm)
a) Đổi 1,430232558 ra phân số tối giản
b) Tính tổng: S = 2 + 22 + ....+ 22..2 (17 số 2)