Giao diện mới của VnDoc Pro: Dễ sử dụng hơn - chỉ tập trung vào lớp bạn quan tâm. Vui lòng chọn lớp mà bạn quan tâm: Lưu và trải nghiệm
Đóng
Điểm danh hàng ngày
  • Hôm nay +3
  • Ngày 2 +3
  • Ngày 3 +3
  • Ngày 4 +3
  • Ngày 5 +3
  • Ngày 6 +3
  • Ngày 7 +5
Bạn đã điểm danh Hôm nay và nhận 3 điểm!
Nhắn tin Zalo VNDOC để nhận tư vấn mua gói Thành viên hoặc tải tài liệu Hotline hỗ trợ: 0936 120 169

Đề thi giải toán trên máy tính cầm tay lớp 9 THCS tỉnh Hà Tĩnh năm 2013-2014

Lớp: Lớp 9
Loại File: Word
Phân loại: Tài liệu Tính phí
SỞ GIÁO DỤC - ĐÀO TẠO
HÀ TĨNH
KỲ THI CHỌN HỌC SINH GIỎI TỈNH
GIẢI TOÁN TRÊN MÁY TÍNH CẦM TAY
NĂM HỌC 2013 – 2014

MÔN: TOÁN LỚP 9

Thời gian: 90 phút

Bài 1. (6.0 điểm). Tính kết quả đúng của các tích sau:

a. M = 3333344444 7777788888

b. N = 1220133

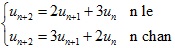
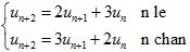
Bài 2. (6.0 điểm) Cho dãy số (un) được xác định u1 = 1; u2 = 2 và Đề thi giải toán trên máy tính cầm tay lớp 9 THCS tỉnh Hà Tĩnh năm 2013-2014

a. Tính u10, u15, u21

b. Gọi Sn là tổng của số hạng đầu tiên của dãy số (un). Lập quy trình bấm phím để tính Sn và tính S10, S15, S20. Ghi rõ quy trình bấm phím trên máy nào.

Bài 3. (6.0 điểm)

a. Tìm x, y nguyên dương thoả mãn: Đề thi giải toán trên máy tính cầm tay lớp 9 THCS tỉnh Hà Tĩnh năm 2013-2014

b. Tìm các chữ số a, b, c, d sao cho là số chính phương

Bài 4. (6.0 điểm). Kết quả lấy đến 5 chữ số sau dấu phẩy

a. Cho tam giác ABC có cạnh AB = 1,2345; cạnh AC = 2,3456 và hai trung tuyến BM, CN vuông góc với nhau. Tính độ dài cạnh BC

b. Cho hình thang ABCD có hai đáy là AB,CD. Gọi M,N là trung điểm của AB, CD. Biết MN = 2,2222; BD =3,3333 và AC=5,5555. Tìm diện tích hình thang.

Bài 5 (6.0 điểm) Kết quả câu b lấy đến 5 chữ số sau dấu phẩy

a. Cho A = 282013. Tìm hai chữ số tận cùng của A.

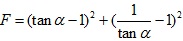
b. Cho góc α thỏa mãn 60o < α < 90o. Tìm giá trị nhỏ nhất của Đề thi giải toán trên máy tính cầm tay lớp 9 THCS tỉnh Hà Tĩnh năm 2013-2014

Chọn file muốn tải về:
Đóng Chỉ thành viên VnDoc PRO/PROPLUS tải được nội dung này!
Đóng
79.000 / tháng
Đặc quyền các gói Thành viên
PRO
Phổ biến nhất
PRO+
Tải tài liệu Cao cấp 1 Lớp
30 lượt tải tài liệu
Xem nội dung bài viết
Trải nghiệm Không quảng cáo
Làm bài trắc nghiệm không giới hạn
Mua cả năm Tiết kiệm tới 48%

Có thể bạn quan tâm

Xác thực tài khoản!

Theo Nghị định 147/2024/ND-CP, bạn cần xác thực tài khoản trước khi sử dụng tính năng này. Chúng tôi sẽ gửi mã xác thực qua SMS hoặc Zalo tới số điện thoại mà bạn nhập dưới đây:

Số điện thoại chưa đúng định dạng!
Số điện thoại này đã được xác thực!
Bạn có thể dùng Sđt này đăng nhập tại đây!
Lỗi gửi SMS, liên hệ Admin
Sắp xếp theo
🖼️

Lớp 9

Xem thêm
🖼️

Gợi ý cho bạn

Xem thêm