Đề thi giải toán trên Máy tính cầm tay lớp 9 THCS tỉnh Quảng Ninh năm 2012 - 2013
SỞ GIÁO DỤC VÀ ĐÀO TẠO
|
KÌ THI CẤP TỈNH GIẢI TOÁN TRÊN MÁY TÍNH CẦM TAY
|
ĐỀ THI MÔN: TOÁN (BẢNG A)
Bài 1 (6,0 điểm)
Tính gần đúng (kết quả làm tròn đến chữ số thập phân thứ 9)

Bài 2 (4,0 điểm)
Từ 8 chữ số 1; 2; 3; 4; 5; 6; 7; 8:
a) Lập số tự nhiên N nhỏ nhất có 8 chữ số khác nhau chia hết cho 1111;
b) Lập số tự nhiên M lớn nhất có 8 chữ số khác nhau chia hết cho 1111;
c) Lập được bao nhiêu số tự nhiên có 8 chữ số khác nhau chia hết cho 1111?
Bài 3 (5,0 điểm)
Cho dãy số {an} như sau: a1 = 3; an = an-1 + 3n2 + 5 với n ∈ N và n > 1.
a) Tính a5; a6; a7; a8
b) Lập quy trình bấm phím liên tục tính an (ghi rõ sử dụng loại máy tính nào?)
c) Tính a2012; a2013.
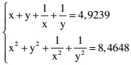
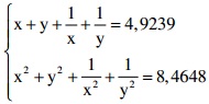
Bài 4 (4,0 điểm)
Cho hai số x; y 0 ≠ thỏa mãn:
Tính gần đúng giá trị của biểu thức: ![]()
Bài 5 (5,0 điểm)
Cho tam giác ABC ngoại tiếp đường tròn tâm O bán kính r = 2,1043 cm. Đường tròn (O; r) tiếp xúc với BC tại D. Biết BD = 4,2742 cm, DC = 6,5342 cm.
a) Tính gần đúng số đo góc A của tam giác ABC;
b) Tính gần đúng diện tích tam giác ABC.
Bài 6 (3,0 điểm)
Cho tam giác ABC cân tại A, trực tâm H nằm trong tam giác. Biết HA = 3,094cm, HB = 6,630cm. Tính độ dài đường cao AD của tam giác ABC.
Bài 7 (3,0 điểm)
Tìm các cặp số nguyên (x; y) thỏa mãn: 10x + y = x2 + y2 + 1
ĐỀ THI MÔN: TOÁN (BẢNG B)
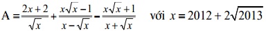
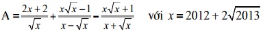
Bài 1: (5,0 điểm)
a) Tính giá trị của biểu thức (kết quả lấy 6 chữ số thập phân)![]()
b) Tìm số dư khi chia (19122012 x 1220132014) cho 10000
c) Tìm số dư khi chia (20122013 + 318126) + cho (1 + 2012 + 20122 + ... + 20122012)
Bài 2: (5,0 điểm)
a) Tìm các chữ số a, b, c, d sao cho ![]()
b) Tìm các chữ số x, y, z để
chia hết cho 5, 7 và 9
Bài 3: (5,0 điểm)
Cho P(x) = x5 + ax4 + bx3 + cx2 + dx + e. Biết P(-2) = 73; P(-1) = -25; P(0) = 1; P(1) = 25; P(2) = 377.
a) Tìm các hệ số a; b; c; d; e của đa thức P(x)
b) Tính giá trị chính xác của P(1,2); P(19); P(95); P(112)
Bài 4: (5,0 điểm)
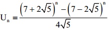
Cho dãy số
(n thuộc R; n ≥ 1)
a) Tính 5 giá trị đầu tiên của dãy Un.
b) CMR: Un+2 = 14Un+1– 29Un
c) Viết quy trình bấm phím tính Un+2 theo Un+1 và Un (n =1, 2,3…). (Nêu rõ loại máy tính sử dụng).
Bài 5: (4,0 điểm)
Cho ∆ ABC có BC = 20,12cm; góc A = 56018’, góc C = 80026’.
a) Tính gần đúng độ dài đường cao BH.
b) Tính gần đúng diện tích tam giác ABC.
Bài 6: (4,0 điểm)
Cho đường tròn (O) bán kính R = 12,19cm. Hai dây AB và CD song song với nhau có độ dài lần lượt là 20,12cm và 19,12cm. Tính gần đúng khoảng cách giữa hai dây AB và CD.
Bài 7: (2,0 điểm)
Biết đường thẳng (d) đi qua hai điểm A(1; 2), B(-3; 5), tính gần đúng khoảng cách từ điểm
đến đường thẳng (d). (Kết quả làm tròn 6 chữ số thập phân).