Giao diện mới của VnDoc Pro: Dễ sử dụng hơn - chỉ tập trung vào lớp bạn quan tâm. Vui lòng chọn lớp mà bạn quan tâm: Lưu và trải nghiệm
Đóng
Điểm danh hàng ngày
  • Hôm nay +3
  • Ngày 2 +3
  • Ngày 3 +3
  • Ngày 4 +3
  • Ngày 5 +3
  • Ngày 6 +3
  • Ngày 7 +5
Bạn đã điểm danh Hôm nay và nhận 3 điểm!
Nhắn tin Zalo VNDOC để nhận tư vấn mua gói Thành viên hoặc tải tài liệu Hotline hỗ trợ: 0936 120 169

Đề thi giải toán trên Máy tính cầm tay tỉnh Vĩnh Phúc năm 2010 - 2011 môn Toán THPT

Loại File: Word
Phân loại: Tài liệu Tính phí

SỞ GIÁO DỤC & ĐÀO TẠO
VĨNH PHÚC

KỲ THI GIẢI TOÁN TRÊN MTCT BẬC TRUNG HỌC
NĂM HỌC 2010 - 2011
ĐỀ THI MÔN: TOÁN - THPT & BTTHPT

Thời gian làm bài: 150 phút (không kể thời gian giao đề)

Bài 1 (5 điểm).

Tính các hệ số a, b, c biết rằng đồ thị của hàm số y = x3 + ax2 + bx + c đi qua ba điểm A(5; 1), B(6; 2), C(7; 3).

Bài 2 (5 điểm).

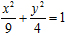
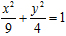
Tính gần đúng toạ độ hai giao điểm của elíp và đường thẳng 5x + 6y - 7 = 0.

Bài 3 (5 điểm).

Tính gần đúng giá trị cực đại và giá trị cực tiểu của hàm số

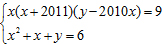
Bài 4 (5 điểm).

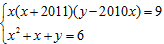
Tính gần đúng nghiệm của hệ phương trình sau:

Bài 5 (5 điểm).

Cho tam giác ABC có cạnh AB = 6cm, các góc BAC = 85o và ACB = 40o. Tính gần đúng diện tích tam giác ABC và độ dài đường cao AH của tam giác đó.

Bài 6 (5 điểm).

Tìm hệ số của x trong đa thức P(x) = (1 + x)(1 - 2x)(1 + 3x)(1 - 4x)...(1 - 2010x)(1 + 2011x).

Bài 7 (5 điểm).

Cho hình thang cân ABCD có đáy lớn AB ngoại tiếp một đường tròn bán kính r = √3, góc DAB = 40o. Tính gần đúng độ dài các cạnh đáy và đường chéo của hình thang ABCD.

Bài 8 (5 điểm).

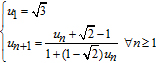
Cho dãy số (un) n ≥ 1 xác định như sau: . Tính gần đúng giá trị u2011.

Bài 9 (5 điểm).

Cho hai số thực dương x, y thoả mãn x + y = 5. Tính gần đúng giá trị nhỏ nhất của biểu thức P = (x5 + 5)(y5 + 5).

Bài 10 (5 điểm).

Cho hình chóp S.ABC nội tiếp trong một mặt cầu có bán kính . Biết rằng SA = SB = SC và góc ASB = ASC = BSC = 40o. Tính gần đúng thể tích của khối chóp S.ABC.

Chọn file muốn tải về:
Đóng Chỉ thành viên VnDoc PRO/PROPLUS tải được nội dung này!
Đóng
79.000 / tháng
Đặc quyền các gói Thành viên
PRO
Phổ biến nhất
PRO+
Tải tài liệu Cao cấp 1 Lớp
30 lượt tải tài liệu
Xem nội dung bài viết
Trải nghiệm Không quảng cáo
Làm bài trắc nghiệm không giới hạn
Mua cả năm Tiết kiệm tới 48%
1
Xác thực tài khoản!

Theo Nghị định 147/2024/ND-CP, bạn cần xác thực tài khoản trước khi sử dụng tính năng này. Chúng tôi sẽ gửi mã xác thực qua SMS hoặc Zalo tới số điện thoại mà bạn nhập dưới đây:

Số điện thoại chưa đúng định dạng!
Số điện thoại này đã được xác thực!
Bạn có thể dùng Sđt này đăng nhập tại đây!
Lỗi gửi SMS, liên hệ Admin
Sắp xếp theo
🖼️

Thư viện Học liệu

Xem thêm
🖼️

Gợi ý cho bạn

Xem thêm