Đề thi giải toán trên Máy tính cầm tay cấp tỉnh Quảng Ngãi môn Toán lớp 9 (2008 - 2009)
SỞ GIÁO DỤC VÀ ĐÀO TẠO
|
KỲ THI GIẢI TOÁN TRÊN MÁY TÍNH CẦM TAY
|
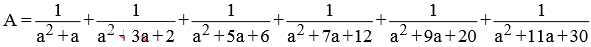
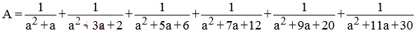
Bài 1: (5,0 điểm)
Cho biểu thức:![]()
Tính giá trị của biểu thức A với a = 3,33
Bài 2: (5,0 điểm)
a) Tính tổng: A = 1,(1) + 1,(12) + 1,(123) + 1,(1234) + 1,1(2) + 1,1(23) + 1,12(34)

Tính giá trị của a; b; c; d; e; f; g
Bài 3: (5 điểm)
Tìm số dư trong phép chia đa thức: f(x) = x2009 + x2008 + ... + x + 1 cho x2 – 1
Bài 4: (5 điểm)
Cho hình thang vuông ABCD có góc nhọn BCD = α ngoại tiếp đường tròn tâm O, bán kính r.
a) Viết công thức tính độ dài các cạnh của hình thang vuông ABCD theo r và α.
b) Tìm công thức tính chu vi P của hình thang vuông ABCD và công thức tính diện tích S của phần mặt phẳng giới hạn bởi đường tròn tâm (O) và hình thang vuông ABCD.
c) Cho biết α = 650 và r = 3,25 (cm) tính P và S.
Bài 5: (5 điểm)
Giải phương trình: x2 - 2003[x] + 2002 = 0. Trong đó [x] là ký hiệu phần nguyên của x .
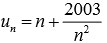
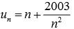
Bài 6: (5 điểm)
Tìm số hạng nhỏ nhất trong tất cả các số hạng của dãy số ![]()
Bài 7: (5 điểm)
Cho tam giác ABC có AB = 3,14 cm; BC = 4,25 cm; CA = 4,67 cm. Tính diện tích tam giác có đỉnh là chân ba đường cao của tam giác ABC.
Bài 8: (5 điểm)
Viết quy trình ấn phím để tìm một nghiệm dương và một nghiệm âm gần đúng của phương trình x3 -3x + 1 = 0 bằng phương pháp lặp.
Bài 9: (5,0 điểm)
Cho hình thang ABCD, có AB//CD và góc A, góc B là các góc tù. Kẻ đường phân giác của góc A và góc B cắt nhau tại E (với E thuộc CD ). Tính các cạnh của hình thang ABCD; biết chiều cao của hình thang bằng 12 cm, các phân giác AE = 13,6cm và BE = 16,9cm.
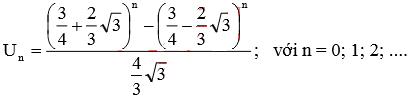
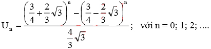
Bài 10: (5,0 điểm)
Cho dãy số: 
a) Tính 8 số hạng đầu tiên của dãy này.
b) Lập công thức truy hồi để tính: Un+2 theo Un+1 và Un.
c) Lập qui trình ấn phím liên tục để tính Un.