Giao diện mới của VnDoc Pro: Dễ sử dụng hơn - chỉ tập trung vào lớp bạn quan tâm. Vui lòng chọn lớp mà bạn quan tâm: Lưu và trải nghiệm
Đóng
Điểm danh hàng ngày
  • Hôm nay +3
  • Ngày 2 +3
  • Ngày 3 +3
  • Ngày 4 +3
  • Ngày 5 +3
  • Ngày 6 +3
  • Ngày 7 +5
Bạn đã điểm danh Hôm nay và nhận 3 điểm!
Nhắn tin Zalo VNDOC để nhận tư vấn mua gói Thành viên hoặc tải tài liệu Hotline hỗ trợ: 0936 120 169

Đề thi giải toán trên Máy tính cầm tay cấp tỉnh Quảng Ngãi môn Toán THPT (2008 - 2009)

Loại File: PDF
Phân loại: Tài liệu Tính phí

SỞ GIÁO DỤC VÀ ĐÀO TẠO
QUẢNG NGÃI

(Đề thi chính thức)

KỲ THI GIẢI TOÁN TRÊN MÁY TÍNH CẦM TAY
CẤP TỈNH NĂM HỌC 2008 - 2009
MÔN: TOÁN THPT

(Thời gian làm bài 150 phút không kể thời gian giao đề)
Ngày thi: 18/01/2009

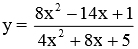
Bài 1: (5,0 điểm)

Tính gần đúng giá trị lớn nhất và nhỏ nhất của hàm số

Bài 2: (5,0 điểm)

Cho hàm số có đồ thị (C), trong đó m là tham số thực

Tính giá trị của m để đường tiệm cận xiên của (C) hợp với đường thẳng y = 2x một góc 360

Bài 3: (5,0 điểm)

Trong mặt phẳng tọa độ Oxy, cho tam giác ABC với A(1,2; 2,3), B(4,5; 6,6), C(-1,1; -2,2)

1) Tìm toạ độ trực tâm của tam giác ABC

2) Tính bán kính đường tròn nội tiếp của tam giác ABC

Bài 4: (5,0 điểm)

Một thùng hình trụ có đường kính đáy bằng 12,24cm đựng nước, mực nước trong thùng cao 4,56cm so với mặt đáy của thùng. Một viên bi hình cầu được thả chìm chạm đáy thùng, mực nước dâng lên sát với điểm cao nhất của viên bi (nghĩa là mặt nước là tiếp diện của mặt cầu).

Xác định bán kính của viên bi (xem thùng có bề dày không đáng kể)

Bài 5 (5,0 điểm )

1/ Tính giá trị gần đúng của a và b biết đường thẳng y = ax + b tiếp xúc với đồ thị của hàm số tại điểm có hoành độ

2/ Cho P(x) = x4 + ax3 + bx2 + cx + d. Biết: f(1) = 10, f(2) = 20, f(3) = 30.
Tính

Bài 6: (5, 0 điểm)

Tính giá trị của biểu thức:

Bài 7: (5,0 điểm)

Tính gần đúng các nghiệm của phương trình: 4x = 2x + 5

Bài 8: (5,0 điểm)

Tìm cặp số tự nhiên (x; y) với x nhỏ nhất có ba chữ số và thỏa mãn phương trình: x3 – y2 = xy

Bài 9:

Cho dãy (un) (n ≥ 1) được xác định bởi: u1 = 0, u2 = 18, un+2 = 3un+1 – 2un – 20

1) Tính u15 và tổng 15 số hạng đầu tiên của dãy

2) Tìm công thức tổng quát của dãy

Bài 10: (5, 0 điểm)

Tìm giá trị nguyên của x với 100 < x < 500 sao cho với giá trị nguyên của y

Chọn file muốn tải về:
Đóng Chỉ thành viên VnDoc PRO/PROPLUS tải được nội dung này!
Đóng
79.000 / tháng
Đặc quyền các gói Thành viên
PRO
Phổ biến nhất
PRO+
Tải tài liệu Cao cấp 1 Lớp
30 lượt tải tài liệu
Xem nội dung bài viết
Trải nghiệm Không quảng cáo
Làm bài trắc nghiệm không giới hạn
Mua cả năm Tiết kiệm tới 48%
Xác thực tài khoản!

Theo Nghị định 147/2024/ND-CP, bạn cần xác thực tài khoản trước khi sử dụng tính năng này. Chúng tôi sẽ gửi mã xác thực qua SMS hoặc Zalo tới số điện thoại mà bạn nhập dưới đây:

Số điện thoại chưa đúng định dạng!
Số điện thoại này đã được xác thực!
Bạn có thể dùng Sđt này đăng nhập tại đây!
Lỗi gửi SMS, liên hệ Admin
Sắp xếp theo
🖼️

Thư viện Học liệu

Xem thêm
🖼️

Gợi ý cho bạn

Xem thêm