Đề thi giải toán trên Máy tính cầm tay cấp tỉnh Sóc Trăng môn Toán THCS (2010 - 2011)
SỞ GIÁO DỤC VÀ ĐÀO TẠO
|
KỲ THI GIẢI TOÁN TRÊN MÁY TÍNH CẦM TAY
|
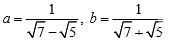
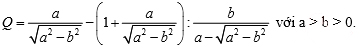
Bài 1.
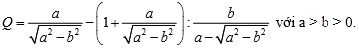
Cho biểu thức![]()
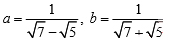
Tính giá trị của biểu thức Q khi ![]()
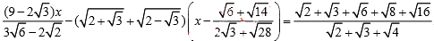
Bài 2.
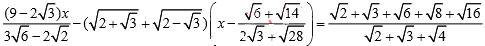
Tìm x:![]()
Bài 3.
Tính giá trị của các biểu thức sau:
Bài 4.
Tìm x, y, z, t biết: 401( xyzt + xy + xt + zt + 1 ) = 1281( yzt + y + t ).
Bài 5.
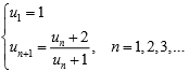
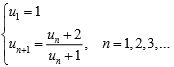
Cho dãy số (un) xác định bởi: 
Tìm u4, u8, u12, u16, u20.
Bài 6.
Cho tam giác ABC có diện tích bằng 2010cm2 và số đo các góc A, B, C tỉ lệ với các số 6, 5, 4. Tính độ dài các cạnh AB, AC và BC.
Bài 7.
Năm ngoái tổng dân số của hai tỉnh X và Y là 3500000 người. Dân số tỉnh X năm nay tăng 1,2 %, còn tỉnh Y tăng 1,4 %. Tổng dân số của hai tỉnh năm nay là 3545800 người. Tính dân số của mỗi tỉnh năm nay.
Bài 8.
Cho dãy số (un) được xác định bởi: u1 = 5, un+1 = un + 3n - 2 với n = 1, 2, 3...
a/ Tính tổng của 10 số hạng đầu tiên.
b/ Tính tích của 10 số hạng đầu tiên.
Bài 9.
Trong mặt phẳng tọa độ cho các điểm A(-6; 2), B(0; -2), C(5; 7). AH là đường cao (H thuộc BC), AD là phân giác trong góc A (D thuộc BC) của tam giác ABC.
a/ Tính diện tích tam giác ABC.
b/ Tính độ dài đường cao AH.
c/ Tính độ dài phân giác AD.
d/ Tính tỉ số SABD/SABC
Bài 10.
Cho hình chóp tứ giác đều S.ABCD có độ dài cạnh đáy AB = 3 +
(cm) và độ dài cạnh bên SA = 5 +
(cm).
a/ Tính diện tích toàn phần của hình chóp.
b/ Tính thể tích của hình chóp.