Đề thi giải toán trên Máy tính cầm tay cấp tỉnh Sóc Trăng môn Toán THPT (2010 - 2011)
SỞ GIÁO DỤC VÀ ĐÀO TẠO
|
KỲ THI GIẢI TOÁN TRÊN MÁY TÍNH CẦM TAY
|
Bài 1.
a. Tìm số dư trong phép chia 2811 cho 2010
b. Tìm ước nguyên tố lớn nhất và nhỏ nhất của A = 2152 + 3142
Bài 2.
a. Cho đa thức f(x) bậc 3. Biết f(0)=10, f(1)=12, f(2)=4, f(3)=1. Tính f(10).
b. Cho đa thức f(x) bậc 4, hệ số của bậc cao nhất là 1 và thoả mãn: f(1) = 3; f(3) = 11; f(5) = 27. Tính giá trị A = f(-2) + 7f(6) = ?
Bài 3.
Tính diện tích hình tròn nội tiếp tam giác ABC. Biết AB=4, BC=5, AC=6.
Bài 4.
Cho dãy số (xn), (n = 1, 2, 3...) xác định bởi: 
Tìm giới hạn của dãy số (xn).
Bài 5.
Giải phương trình: 8x - 7.2x + 6 = 0
Bài 6.
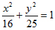
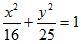
Tìm trên elip
một điểm M sao cho MF1 = 2MF2 trong đó F1, F2 là các tiêu điểm của elip.
Bài 7.
Cho
. Tính a2010
Bài 8.
Biết khoảng cách từ A(1;1) đến đường thẳng mx+(2m-1)y-3=0 là 2. Tính m.
Bài 9.
Cho A(-1;1), B(1;30, C(2;5). Biết rằng tập hợp các điểm M thỏa mãn MA2 + MB2 + MC2 = 40 là đường tròn. Tìm tọa độ tâm và bán kính đường tròn đó.
Bài 10.
Viên gạch hình vuông có cạnh là 30cm có hoa văn như hình vẽ.

a. Tính diện tích phần được tô.
b. Tính tỉ lệ phần trăm phần diện tích được tô và diện tích viên gạch.