Đề thi giải toán trên Máy tính cầm tay cấp tỉnh Tuyên Quang môn Toán THCS (2009 - 2010)
SỞ GIÁO DỤC VÀ ĐÀO TẠO
|
KỲ THI GIẢI TOÁN TRÊN MÁY TÍNH CẦM TAY
|
Quy ước:
- Thí sinh làm bài trực tiếp vào bản đề thi này;
- Các bài toán có yêu cầu trình bày lời giải thì chỉ trình bày tóm tắt cách giải và công thức áp dụng;
- Các kết quả gần đúng thì lấy đến 4 chữ số thập phân sau dấu phẩy.
Câu 1 (5 điểm).
Tính giá trị của các biểu thức:
Câu 2 (5 điểm).
a) Tính giá trị và chỉ ghi kết quả dưới dạng phân số của biểu thức sau:
b) Tìm x biết:
Câu 3 (5 điểm).
a) Tìm chữ số hàng chục của 172009.
b) Tìm dư của phép chia 2468101214161820 chia cho 1357911?
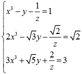
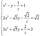
Câu 4 (5 điểm).
Giải hệ phương trình:
Câu 5 (5 điểm).
Một người bắt đầu đi làm với mức lương khởi điểm là 2 triệu đồng một tháng. Cứ sau 3 năm người đó được tăng lương thêm 8% lương cũ. Tính tiền lương tháng của người đó ở năm công tác thứ 31 (kết quả làm tròn đến 100 đồng).
Câu 6 (5 điểm).
Cho đa thức P(x) = x5 - ax4 + bx3 - cx2 + dx – 2010.
a) Xác định a, b, c, d biết P(1) = -2011; P(2) = -2084; P(3) = -2385; P(-1) = -2045.
b) Với các giá trị của a, b, c, d vừa tìm được, tìm số dư r của phép chia P(x) cho nhị thức: x - 1,25
Câu 7 (5 điểm).
Cho hai hàm số y = 3x + 1 (1) và y = -4x + 10 (2). Gọi A là giao điểm của đồ thị các hàm số (1) và (2); B, C lần lượt là giao điểm của đồ thị hàm số (1) và (2) với trục Ox.
a) Tính số đo góc BAC (làm tròn đến giây);
b) Tính diện tích tam giác ABC.
Câu 8 (5 điểm).
Cho hình thoi ABCD có chu vi bằng 20cm, tỉ lệ độ dài hai đường chéo là
. Tính diện tích hình thoi ABCD
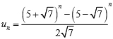
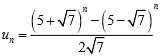
Câu 9 (5 điểm).
Cho dãy số: 
a) Tính 5 số hạng đầu: u0, u1, ..., u4 của dãy số;
b) Chứng minh rằng: un+2 = 10un+1 - 18un
Câu 10 (5 điểm).
Biết số có dạng
chia hết cho 24. Hãy tìm tất cả các số N.