Đề thi giải toán trên Máy tính cầm tay cấp tỉnh Tuyên Quang môn Toán THPT (2009 - 2010)
SỞ GIÁO DỤC VÀ ĐÀO TẠO
|
KỲ THI GIẢI TOÁN TRÊN MÁY TÍNH CẦM TAY
|
Câu 1 (5 điểm).
Cho hàm số
. Đường thẳng y = ax + b là tiếp tuyến của đồ thị hàm số (1) tại điểm có hoành độ bằng π. Tính các hệ số a, b .
Câu 2 (5 điểm).
Cho hàm số
. Gọi M, N, P là ba điểm cực trị của đồ thị hàm số (2). Tính diện tích tam giác MNP.
Câu 3 (5 điểm).
Số 20102009 có bao nhiêu chữ số?
Câu 4 (5 điểm).
Giải phương trình: sinx = x2 - x + 1
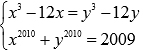
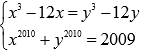
Câu 5 (5 điểm).
Giải hệ phương trình: 
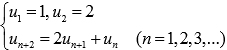
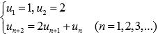
Câu 6 (5 điểm).
Cho dãy số: 
Viết quy trình bấm phím tính tổng đan dấu Sn = u1 – u2 + u3 – u4 +...+ (–1)n+1un. Áp dụng tính S27.
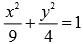
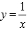
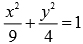
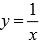
Câu 7 (5 điểm).
Tìm giao điểm của Elip
và hypebol ![]()
Câu 8 (5 điểm).
Tính thể tích khối tám mặt đều biết độ dài đường cao của một mặt của nó là 4cm.
Câu 9 (5 điểm).
Cho hình vẽ. Biết ba đường tròn tiếp xúc nhau đôi một; bán kính của hai đường tròn nhỏ là 2cm và của đường tròn lớn là 3cm.
Tính diện tích tam giác cong ABC giới hạn bởi ba đường tròn trên.

Câu 10 (5 điểm).
Cho tập S = {1; 2; ...; 47}. Một tập con khác rỗng của S được gọi là tập tốt nếu nó không chứa hai số nguyên liên tiếp. Hỏi có bao nhiêu tập con của S là tập tốt ?