Đề thi giải toán trên Máy tính cầm tay lớp 12 THPT tỉnh Quảng Trị năm 2012 môn Toán - Có đáp án
Nhằm giúp các bạn chuẩn bị thật tốt kiến thức để làm bài thi đạt hiệu quả cao, Vndoc.com xin giới thiệu: Đề thi giải toán trên Máy tính cầm tay lớp 12 THPT tỉnh Quảng Trị năm 2012 môn Toán - Có đáp án.
Đề thi giải toán trên Máy tính môn Toán:
SỞ GIÁO DỤC VÀ ĐÀO TẠO
|
ĐỀ THI CHỌN HỌC SINH GIỎI
|
Bài 1.
Tìm giá trị lớn nhất và nhỏ nhất của 
Bài 2.
Cho 
Tính f(xo) với xo là nghiệm của phương trình ![]()
Bài 3.
Tìm các nghiệm của phương trình: 3x = 7sinx + x trên(0; +∞)
Bài 4.
Giải hệ phương trình: 
Bài 5.
Một hộp đựng 4 viên bi màu đỏ và 18 viên bi màu xanh (các viên bi giống nhau về kích thước và khối lượng). Cần phải bốc một lần ngẫu nhiên ít nhất bao nhiêu viên bi để xác suất có ít nhất một viên bi màu đỏ lớn hơn 0,9765
Bài 6.
Một tấm vải được quấn 357 vòng quanh một lõi gỗ hình trụ có bán kính đáy bằng 5,678cm, bề dày của vải là 0,5234mm. Tính chiều dài (bằng mét) của tấm vải đó.
Bài 7.
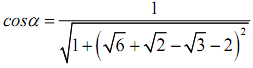
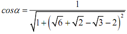
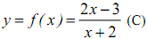
Cho hàm số
. Viết phương trình tiếp tuyến của (C), biết tiếp tuyến đó cắt tiệm cận đứng tại A và cắt tiệm cận ngang tại B sao cho góc ∠IAB = α, trong đó I là tâm đối xứng của đồ thị (C) và góc α thỏa mãn:
Bài 8.
Cho hình chóp S.ABC có các mặt bên nghiêng đều trên đáy một góc bằng α = 75o23'45''. Tính thể tích khối chóp và diện tích toàn phần của hình chóp biết AB = 5, 6789; BC = 6, 7891; CA = 7,8912
Bài 9.
Cho hình chóp S.ABCD có SA = a vuông góc với mặt phẳng đáy, ABCD là hình thang vuông tại A và B, AB = BC = a; AD = 2a; Elà trung điểm cạnh AD. Tính thể tích khối cầu ngoại tiếp hình chóp S.CDE biết rằng a = √3
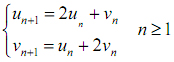
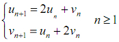
Bài 10.
Cho 2 dãy số (un); (vn) thỏa mãn: u1 = 4; v1 = 2 và 
a. Tính 5 số hạng đầu tiên của hai dãy trên.
b. Gọi
lần lượt là tổng của n số hạng ñầu tiên của dãy (un); (vn)
Tính ![]()